Puck 准则标识单向复合材料中的纤维失效和纤维之间的失效。
Puck 准则还将纤维失效分为两个不同的物理模式。要使用 Puck 失效准则,则必须指定两部分信息。
Puck 准则识别两种不同模式的纤维失效:第一个是拉伸失效,第二个是压缩的“纤维扭结”失效。拉伸纤维失效准则为

而压缩的“纤维扭结”失效为

在上面的纤维失效准则中:
在上面的方程中,如果
,将计算拉伸方程;如果
,将评估压缩准则。
在 Puck 准则中,纤维之间的失效包含任何基体裂纹或纤维/基体脱粘。Puck 准则识别三种不同的纤维之间的失效模式,这些模式分别称为模式 A、B 和 C。这三种纤维之间的失效模式可通过相对于增强纤维的断裂平面取向进行区分。
纤维之间的失效模式 A:
模式 A 对应于 0° 断裂角。如果复合材料中的横向应力大于 0(这表明横向裂纹垂直于横向载荷),则调用该准则。

纤维之间的失效模式 B:
模式 B 对应于横向压缩应力(抑制裂纹形成),其纵向剪切应力低于断裂阻力(外加经验常数)。

在以下情况下将评估上述准则

纤维之间的失效模式 C:
模式 C 对应于横向压缩应力(抑制裂纹形成),其纵向剪切应力明显太大,导致倾斜平面到纤维轴上出现断裂。模式 C 的失败准则为

在以下情况下将评估上述准则

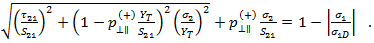
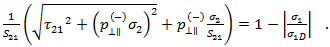
接下来介绍:
要在
和
之间建立连接,则假定以下关系保持不变

因此,
可表示为

其中,
假定为与 S21 相同,这将允许
表示为

Puck 和 Mannigal (2007) 为
和
提供了以下建议值。

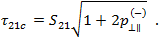
Puck 还将
定义为

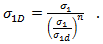
最后,我们必须定义
。这是复合材料中的“降级”应力,使得各个纤维出现预纤维失效翘曲,进而导致在这些区域中出现微裂纹和脱粘形式的损坏。出于对这种削弱效果的考虑,Puck 通过削弱因子
降低了断裂阻力 (R)。Puck 为此定义了两个方程。第一个用于广义削弱因子。

第二个用于提供削弱因子的另一个表达式以使断裂条件同类,还用于提供关于应力的一次表达式。

Puck 准则的 Helius PFA 实施仅利用三维应力状态的平面内应力分量。在这种情况下,上述两个方程应为等效表达式,因为在将执行的断裂平面上不存在任何迭代计算。因此,我们可以得出

根据 Puck 的建议,Helius PFA 将 n=6 用于指数,并按 1.1XT 或 -1.1XC 经验计算
,具体取决于
的符号。
应当强调的是,Puck 准则的 Helius PFA 实施仅使用三维应力和应变的平面内分量,即 σ13、σ23、σ33,它们不用于计算材料失效。