织物复合材料损坏准则

检查织物复合材料的失效准则。

如前面所述,相同的纤维损坏准则用于织物复合材料和单向复合材料。最终复合材料强度 +s11 supc、-s11 supcs12 supc 用于直接计算纤维失效系数。

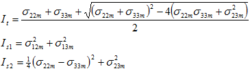
由于用于下方所示织物复合材料的基体损坏准则仅具有三个系数,因此只有三个强度值是必需项。对应于最终强度 +s11k、-s11ks12k 的弯曲强度用于直接计算这些系数。

a1m

其中,

its12