英制单位的带孔销连接计算

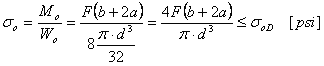
弯曲应力

杆压力

U 形夹压力

剪切应力
剪切应力

其中:
| | F | 力 [lb] |
| | σ 0 | 弯曲应力 [psia] |
| | σ 0D | 许用弯曲应力 [psi] |
| | M 0 | 弯矩 [lb ft] |
| | W 0 | 弯曲截面模量 [in 3 ] |
| | τ | 剪切应力 [psi] |
| | τ D | 许用剪切应力 [psi] |
| | d | 销直径 [in] |
| | p 1 | 杆压力 [psia] |
| | p 2 | U 形夹压力 [psi] |
| | p 1D | 杆的许用压力 [psi] |
| | p 2D | U 形夹的许用压力 [psi] |
| | b | 杆宽度 [in] |
| | a | U 形夹臂宽 [in] |