计算同步皮带强度比例

 

对于每个皮带轮

F 2 - F 1 + F p = 0

 

 

 

对于驱动轮

 

v ≤ v max

 

f b ≤ f max

F c = mv 2

F Tmax = k 1 F p + F c

F 1 = F tmax

F 2 = F 1 - F p

对于单个从动轮和空转轮

i - 皮带轮的指数

F Pi = P xi F p

F 1i = F 2i-1

F 2i = F 1i + F p i

其中:

对于同步皮带轮

对于张紧轮

对于整个皮带驱动

需要的皮带安装张力按如下表达式通过驱动轮的力进行确定

使用空转轮的功率传动示例

主动皮带轮

平导轮

从动皮带轮

P x1 = 1

P x2 = 0

P x3 = 1

 

 

F P3 = P x3 F p

 

 

 

 

 

 

 

F 12 = F 21

 

 

F 22 = F 12 + F p2 = F 12

 

F c = m v 2

 

 

F Tmax = k 1 F p + F C

-

F 13 = F 22

F 11 = F Tmax

-

F 23 = F 13 + F p3 = F 11

F 21 = F 11 - F p

-

 

 

-

-

所用变量的含义:

F p

有效拔模 [N]

F 1

给定皮带轮输入端的皮带张力 [N]

F 2

给定皮带轮输出端的皮带张力 [N]

z

给定皮带轮的齿数/皮带齿数 [-]

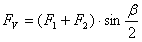
  β

接触弧/侧倾的齿角 [度]

P

传动功率 [W]

P R

给定传动布局的皮带额定功率 [W]

c L

安全系数 [-]

  β

接触弧 [deg]

T

作用于给定皮带轮的扭矩 [Nm]

n

给定皮带轮的速度 [rpm]

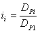
D p

皮带轮节径 [m]

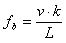
v

皮带速度 [m/s]

k

皮带传动中的皮带轮数 [-]

L

皮带节距长度 [m]

P

传动功率 [W]

m

给定宽度的皮带的比重 [Kg/m]

k 1

皮带拉伸系数 [-]

F p

有效拔模 [N]

F c

离心力 [N]

F t

最小皮带安装张力 [N]

P xi

给定皮带轮的功率比 [-]

D pi

皮带轮节径 [m]

i

给定皮带轮的传动比(速度比)[-]

T i

作用于给定皮带轮的扭矩 [Nm]

  η

效率 [-]

p b

周节 [m]

D

张紧轮公称直径 [m]

H

皮带高度 [m]

h T

皮带齿高度 [m]

a

节距线偏移 [m]

注意:i = 皮带轮的指数

计算基本知识