这些公式用于对具有多个支承和载荷的轴(具有一个或多个截面)或梁(具有一个固定截面)进行求解。
将轴/梁轴与 Z 轴对齐。如果在计算中包含材料密度的影响,则重力矢量与 Y 轴平行。
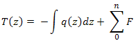
剪切力:
![]()
弯矩:
![]()
变形角度:
![]()
其中:
E | 拉伸弹性模量 | |
J | 转动惯量 | |
G | 切变模量 | |
| β | 剪切位移比 |
变形量:
![]()
弯曲应力:
![]()
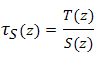
剪切应力:
![]()
扭应力:
![]()
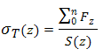
拉伸应力:
![]()
等效应力:
![]()
其中:
| σ B | 弯曲应力 | |
| σ T | 拉伸应力 | |
| τ | 扭应力 | |
| τ S | 剪切应力 | |
| α | α = 3(对于 HMH) | |
| α = 4(对于 Tresca-Guest) |
样例计算
![]()
弹性模量 E = 210 000 MPa
刚性模量 G = 81 000 MPa
剪切位移比 β = 1.118
等效应力模式:HMH
请勿包括材料密度。
支撑力:
![]()
![]()
最大剪切应力:
![]()
最大扭应力:
![]()
最大力矩:
![]()
最大弯曲应力:
![]()
最大等效应力:
![]()
扭曲的角度:
![]()
![]()