滚子链生成器通过以下原理向用户建议选定的链是否在指定的作用条件下运行。
对于恒定载荷,防止链断裂的静态安全系数按如下表达式确定:
![]()
其中:
S Smin | 允许的最小静态安全系数 [-] | |
F U | 链的极限拉伸强度 [N] | |
F Tmax | 教学链范围内的最大拉伸 [N] |
对于峰值载荷,防止链断裂的动态安全系数按如下表达式确定:
![]()
其中:
S Dmin | 允许的最小动态安全系数 [-] | |
F U | 链的极限拉伸强度 [N] | |
F Tmax | 教学链范围内的最大拉伸 [N] | |
Y | 冲击系数 [-] |
设计功率和链额定功率
链额定功率 P R 需参考设计功率 P D。链额定功率必须大于设计功率。
P D < P R
其中:
|
| ||
|
| ||
P | 传动功率 [W] | |
P RN | 正常运行状况下单链排链的额定功率 [W] | |
f 1 | 安全系数 [-] | |
f 2 | 链轮尺寸系数 [-] | |
f 3 | 链排系数 [-] | |
f 4 | 润滑系数 [-] | |
f 5 | 中心距系数 [-] | |
f 6 | 比率系数 [-] | |
f 7 | 使用寿命系数 [-] | |
| Φ | 链构造系数 [-] | |
链额定功率可由额定功率经验表达式计算得出,这些经验表达式仅适用于链。国家标准中述及钢链的这些表达式,或它们源自 ACA(美国链协会)的研究。通过这些表达式计算得出的功率容量可能与链生产商发布的链功率容量不同。
通常,通过额定功率表达式可得出在特定的正常运行状况下工作的链传动的有效额定功率。如果链传动没有在正常运行状况下工作,则生成器将自动相应地调整额定功率系数。
有关额定功率系数的详细信息,可在“计算基本知识”一章中找到。对于常用的实际运行状况和正常运行状况,已计算出这些系数。
在正常状况下运行的链传动的功率容量受以下因素的限制:
链额定功率表达式的示例
![]()
![]()
![]()
P RN = min (P R1 ; P R2 ; P R3 )
其中:
P R1 | 受链板疲劳限制的链传动功率容量 [hp] | |
P R2 | 受滚子和套筒冲击疲劳限制的链传动功率容量 [hp] | |
P R3 | 受销和套筒之间磨损限制的链传动功率容量 [hp] | |
z S | 小链轮上的齿数 [-] | |
n S | 小链轮的速度 [rpm] | |
p | 链节距 [英寸] |
P D = P f 1 f 2 f 5 f 6 f 7
P RN = min (P R1 ; P R2 ; P R3 )
![]()
链轴承区压力
在链传动使用寿命期间,波动拉伸载荷作用于销和套筒之间的接触面上,这可产生特定大小的链轴承区压力。如果该压力超出了链轴承区中的许用压力,则可能会显著减少该链的使用寿命并且无法进行强度校核。检查是否符合以下表达式,如果符合,则可成功通过强度校核:
![]()
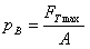
通过链范围内的最大张力按如下表达式计算链轴承区中的实际压力值:
![]()
按如下表达式确定链轴承区中的许用压力
p 0 = p B0 . ϕ
其中:
p B | 链轴承区中的实际压力 [Pa] | |
p B0 | 正常运行状况下链轴承中的特定许用压力 [Pa] | |
p 0 | 正常运行状况下链轴承区中的许用压力 [Pa] | |
F Tmax | 教学链范围内的最大拉伸 [N] | |
A | 链轴承区 [m 2 ] | |
| ϕ | 链构造系数 [-] | |
| λ | 特定摩擦系数 [-] |
期望的使用寿命分析
程序将检查适用于以下各项的期望使用寿命:
如果需要的使用寿命等于或小于任何期望的使用寿命,则强度校核成功
![]()
适用于给定链延伸度的期望使用寿命
由于存在磨损,链在整个使用寿命期间均会延伸。当链延伸度达到 3% 时,看哦昂根据以下经验表达式确定期望使用寿命
![]()
其中:
t h3% | 链延伸度为 3% 时的期望使用寿命 [hr] | |
f C | 磨损系数 [-] | |
f m | 特定的链尺寸系数 [-] | |
f k | 链速度系数 [-] | |
X | 链节数目 [-] | |
v | 链速度 [m/s] | |
z 1 | 小链轮的齿数 [-] | |
z 2 | 小链轮的齿数 [-] | |
p | 链排距 [m] | |
d 2 | 链销直径 [m] | |
p B | 链轴承区中的压力 [N/cm 2 ] |
使用只包含两个链轮的虚拟链传动替换带有三个或更多链轮的链传动。按如下表达式确定结果使用寿命。链轴承区压力随之特定于每个虚拟链传动的教学范围。
![]()
其中:
t h3% | 链延伸度为 3% 时链传动的期望使用寿命 [hr] | |
t h1 ... t hn | 链延伸度为 3% 时虚拟链传动的期望使用寿命 [hr] |
按照如下表达式确定适用于特定延伸度(不等于 3%)的期望使用寿命
![]()
其中:
t h3% | 链延伸度为 3% 时链传动的期望使用寿命 [hr] | |
t h | 给定链延伸度时链传动的期望使用寿命 [hr] | |
ΔL max | 最大链延伸度 [-] |
磨损系数 f C
磨损系数考虑润滑的质量及其影响链磨损进度的程度。可在以下图表中通过润滑系数 f 4 和轴承区压力 p B 的大小来确定磨损系数的大小。
![]()
特定的链尺寸系数 f m
链尺寸系数考虑链的尺寸及其对磨损进度的影响。可通过下表确定该系数的大小。
节距 [mm] | 4 | 5 | 6 | 6.35 | 8 | 9.525 | 12.7 | 15.875 | 19.05 | 25.4 | 31.75 | 38.1 | 44.45 | 50.8 | 63.5 | 76.2 |
f m [-] | 1.64 | 1.57 | 1.54 | 1.53 | 1.49 | 1.48 | 1.44 | 1.39 | 1.34 | 1.27 | 1.23 | 1.19 | 1.15 | 1.11 | 1.03 | 0.96 |
链速度系数 f k
链速度系数考虑具有特定齿数 z s [-] 的最小链轮的链速度 v [m/s]。如果传动中最小的链轮具有 19 个或更多个齿,则该系数始终等于 1。如果最小链轮少于 19 个齿,则可在以下图表中找到该速度系数。
![]()
链板疲劳导致的期望使用寿命
按照以下经验表达式确定没有链板疲劳故障时的期望使用寿命
![]()
其中:
t hL | 链板疲劳导致的期望使用寿命 [hr] | |
X | 链节数目 [-] | |
n S | 最小链轮的速度 [rpm] | |
f Z | 齿系数 [-] | |
f Y | 特定的链尺寸系数 [-] | |
f 1 | 安全系数 [-] | |
F U | 链的极限拉伸强度 [N] | |
F P | 有效链拔模或拉伸载荷 [N] |
齿系数 f Z
齿系数考虑由链传动中最小链轮的尺寸所导致的使用寿命的变化。以下图表定义了该系数的大小。
![]()
特定的链尺寸系数 f Y
该系数将根据峰值过载考虑链尺寸。以下图表定义了该系数的大小。
![]()
滚子和套筒冲击疲劳导致的期望使用寿命
按照以下经验表达式定义没有滚子和套筒冲击疲劳故障时的期望使用寿命:
![]()
其中:
t hR | 滚子和套管冲击疲劳导致的期望使用寿命 [hr] | |
X | 链节数目 [-] | |
z S | 最小链轮的齿数 [-] | |
n S | 最小链轮的速度 [rpm] | |
f 1 | 安全系数 [-] | |
f 3 | 链排数 [-] | |
P | 功率 [W] | |
d 1 | 链滚子直径 [m] | |
d 2 | 链销直径 [m] | |
p | 链排距 [m] |