公制单位的带孔销连接计算

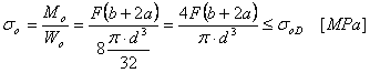
弯曲应力

杆压力

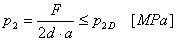
U 形夹压力

剪切应力

其中:

 

F

力 [N]

 

σ 0

弯曲应力 [MPa]

 

σ 0D

许用弯曲应力 [MPa]

 

M 0

弯矩 [N mm]

 

W 0

弯曲截面模量 [mm 3 ]

   τ

剪切应力 [MPa]

 

τ D

许用剪切应力 [MPa]

 

d

销直径 [mm]

 

p 1

杆压力 [MPa]

 

p 2

U 形夹压力 [MPa]

 

p 1D

杆的许用压力 [MPa]

 

p 2D

U 形夹的许用压力 [MPa]

 

b

杆宽度 [mm]

 

a

U 形夹臂宽 [mm]