公制单位的渐开线花键计算公式

传递的转矩

其中:

 

P

传递的功率 [kW]

 

n

速度 [min -1 ]

槽支承面上的压力

1. 轴内径 d h > 0

a)

b) if d min ≤d h -> d min = 1.1 d h [mm]

c) if d min ≤ 1.5 d h -> d min = 1.5 d h [mm]

2. 轴内径 d h = 0

其中:

 

d min

最小轴直径 [mm]

 

d h

轴内径 [mm]

 

T

转矩 [Nm]

 

K a

应用系数

 

K f

疲劳寿命系数

 

S v

安全系数

 

τ Al

许用剪切应力

用于传递转矩的最小花键长度

1.固定接头:

 

2.柔性接头:

 

其中:

 
 

T

转矩 [Nm]

 

K a

应用系数

 

K f

磨损寿命系数

 

K w

应用系数

 

K m

载荷分布系数

 

S v

安全系数

 

d s

中径 = (D + d) / 2 [mm]

 

D

槽截面的外部直径 [mm]

 

d

槽截面的内部直径 [mm]

 

N

槽的数量 [-]

 

h

坡口高度 = (D - d) / 2 [mm]

 

s

倒角 [mm]

 

h st

接头高度 h st = h - 2 s [mm]

 

p Dmin

轴或槽的支承面的许用压力 [MPa]

许用压力

1.固定接头:

 

2.柔性接头:

 

其中:

 
 

T

转矩 [Nm]

 

K a

应用系数

 

K f

磨损寿命系数

 

K w

应用系数

 

K m

载荷分布系数

 

S v

安全系数

 

d s

中径 = (D + d) / 2 [mm]

 

D

槽截面的外部直径 [mm]

 

d

槽截面的内部直径 [mm]

 

N

槽的数量 [-]

 

h

坡口高度 = (D - d) / 2 [mm]

 

s

倒角 [mm]

 

h st

接头高度 h st = h - 2 s [mm]

 

l f

有效键长度 [mm]

强度校核

p min ≤ p ds

p min ≤ p dh

其中:

 

p min

最小计算 h/2 压力 [MPa]

 

p ds

轴的许用压力 [MPa]

 

p dh

轮毂的许用压力 [MPa]

根据 CSN 01 4950 进行公制计算

弯曲应力

其中:

s sf

轴弦齿的齿根厚度

s sf = 2.17m

 

h

轴齿高度

h = 1.1m - 0.05

中心对准于齿侧,平槽底

  

h = 1.28m - 0.05

中心对准于齿侧,圆槽底

  

h = 1.2 m

中心对准于外部

槽支承面上的压力

其中:

 

h n

承受载荷的花键高度

h n = 0.9 m - 0.05

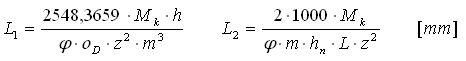
最小花键长度

L min = max {L 1 , L 2 } [mm]

其中:

建议值:L = (0.8 - 1.6) D

花键校核

p ≤ p d 和 σ≤σ d

其中:

 

P

传递的功率 [kW]

 

n

速度 [min -1 ]

 

z

齿数 [-]

 

p D

齿的接触面的许用压力 [MPa]

 

σ D

许用弯曲应力 [MPa]

 

L

花键有效长度 [mm]

 

D

额定花键直径 [mm]

   φ

齿侧接触系数