输入参数
输入力:F
外径:D
内径:D 0(仅用于盘式闸和锥形闸)
宽度:b
锥角:β(仅用于锥形闸)
制动器数(制动曲面):N
最大制动压力:p (Max.)
最大制动压力:p.v (Max.)
起始速度:n 0
终止速度:n 1
起始能量:E,请参见能量计算一章
计算的参数
摩擦力
对于带闸
F t = F (e fα - 1) |
用于其他
F t = F n f |
其中:
| α | 长度(以角度计) | |
| f | 摩擦系数 | |
| F n | 法向力 | |
| 对于盘式闸: | ||
F n = F / sin (β) | ||
| 对于其他闸: | ||
F n = F | ||
制动转矩计算
T = 0.5 D e F t
其中:
D e | 等价直径 | |
对于锥形闸和盘式闸 | ||
| | ||
对于其他闸,D e = D |
压力计算
![]()
其中:
A = N b L | 制动曲面 | |||
b | 宽度 | |||
L = 0.5 D s α | 长度 | |||
| α | 角度 | |||
D s | 平均直径,对于锥形闸和盘式闸,D s = 0.5 (D + D 0 ) | |||
对于其他闸,D s = D | ||||
制动器升温的大致校核
p ≤ p (Max.)
p v ≤ p v (Max.)
其中:
v = π D n 0 / 60 | 启动圆周速度 | |
制动时间的计算
![]()
其中:
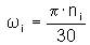
| | 降低的惯性矩 | |
| | 速度/转数 [rad/s] |
停止前的转数
![]()
输出力 F0
仅对于带闸:
F 0 = F + F t = F e fα