公制单位的键连接计算公式

传递的转矩

其中:

 

P

功率 [kW]

 

n

速度 [rpm]

计算最小轴直径

1. 轴内径 d h > 0

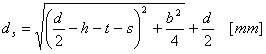
a)

b) if d min ≤d h -> d min = 1.1 d h [mm]

c) if d min ≤ 1.5 d h -> d min = 1.5 d h [mm]

2. 轴内径 d h = 0

其中:

 

d min

最小轴直径 [mm]

 

d h

轴内径 [mm]

 

T

转矩 [Nm]

 

K a

应用系数

 

K f

疲劳寿命系数

 

S v

安全系数

 

τ A

许用剪切应力

常规计算

 

轴的作用力范围

h k = h - h s - 2 s [mm]

轮毂作用力的范围

 

作用力范围的轴直径

 

作用力范围的轮毂直径

 

轴的作用力

 

轮毂的作用力

其中:

 
 

T

转矩 [Nm]

 

F s

轴的作用力 [N]

 

F h

轮毂的作用力 [N]

 

K a

应用系数

 

K f

磨损寿命系数

 

K w

应用系数

 

K m

载荷分布系数

 

S v

安全系数

 

d

轴直径 [mm]

 

d s

力 F s 作用于的轴直径 [mm]

 

d h

力 F d 作用于的轴直径 [mm]

 

N

槽的数量 [-]

 

h

坡口高度

 

h s

轴上力作用点的高度 [mm]

 

h h

轮毂上力作用点的高度 [mm]

 

b

槽的宽度

 

t

轴中槽的深度 [mm]

 

s

倒角

 

p Dmins

最小许用压力(槽,轴)[MPa]

 

p Dminh

最小许用压力(槽,轮毂)[MPa]

传递转矩的最小键长

1.固定接头:

a)

 

b)

 

L min = min(L mins , L minh )

2.柔性接头:

a)

 

b)

 

L min = min(L mins , L minh )

其中:

 
 

F s

轴的作用力 [N]

 

F h

轮毂的作用力 [N]

 

K a

应用系数

 

K f

磨损寿命系数

 

K w

应用系数

 

K m

载荷分布系数

 

S v

安全系数

 

d

轴直径 [mm]

 

N

槽的数量 [-]

 

h s

轴上力作用点的高度 [mm]

 

h h

轮毂上力作用点的高度 [mm]

 

p Dmins

最小许用压力(槽,轴)[MPa]

 

p Dminh

最小许用压力(槽,轮毂)[MPa]

最小许用压力

1.固定接头:

a)

 

b)

2.柔性接头:

a)

 

b)

其中:

 
 

F s

轴的作用力 [N]

 

F h

轮毂的作用力 [N]

 

K a

应用系数

 

K f

磨损寿命系数

 

K w

应用系数

 

K m

载荷分布系数

 

S v

安全系数

 

d

槽截面的内部直径 [mm]

 

N

槽的数量 [-]

 

h s

轴上力作用点的高度 [mm]

 

h h

轮毂上力作用点的高度 [mm]

 

l f

有效键长度 [mm]

强度校核

p mins ≤ p Ds

p minh ≤ p Dh

其中:

 

p mins

轴的最小计算剪切压力 [MPa]

 

p minh

轮毂的最小计算剪切压力 [MPa]

 

p Ds

轴的许用压力 [MPa]

 

p Dh

轮毂的许用压力 [MPa]

简化的计算

传递转矩的最小键长

1.固定接头:

 

2.柔性接头:

 

其中:

 
 

T

转矩 [Nm]

 

K a

应用系数

 

K f

磨损寿命系数

 

K w

应用系数

 

K m

载荷分布系数

 

S v

安全系数

 

d

轴直径 [mm]

 

N

槽的数量 [-]

 

h

坡口高度

 

s

倒角

 

h st

接头高度 h st = h - 2 s [mm]

 

p Dmin

轴支承面上的许用压力(槽或轮毂)[MPa]

许用压力

1.固定接头:

 

2.柔性接头:

 

其中:

 
 

T

转矩 [Nm]

 

K a

应用系数

 

K f

磨损寿命系数

 

K w

应用系数

 

K m

载荷分布系数

 

S v

安全系数

 

d

轴直径 [mm]

 

N

槽的数量 [-]

 

h

坡口高度

 

s

倒角

 

h st

接头高度 h st = h - 2 s [mm]

 

l f

有效键长度 [mm]

强度校核

p min ≤ p Ds

p min ≤ p Dh

其中:

 

p min

最小计算 h/2 压力 [MPa]

 

p Ds

轴的许用压力 [MPa]

 

p Dh

轮毂的许用压力 [MPa]