Analysis Characteristics
Reference
White, F.M., Fluid Mechanics, McGraw-Hill (1986).
Problem Description
A 2D circular pipe is analyzed to verify the fluid flow and turbulence modeling capabilities of Autodesk® CFD.
The k-
turbulence model is used.
The Reynolds number based on the pipe diameter,
, is 14,960.
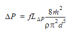
The pressure drop
is measured across an interval 50 m downstream of the inlet:

Geometry and Boundary Conditions

Results
Analytical and numerical calculations of pressure drop are compared. The analytical expression for pressure drop
from White (1986) is:

is the Darcy friction factor
is the mass flow
is the pipe length across which
is measured.The Darcy friction factor is computed from the Blasius expression:

Using these parameters:
=50.0m
=2350 
=14960in the expressions above, the following results are computed:
| Benchmark | 2018: Build 20170308 | % Error | 2019: Build 20180130 | % Error | |
![]() | 4.0e5 Pa | 397477.34 Pa | 0.63 | 397477.34 Pa | 0.63 |