U 形鉤銷接合計算 (英制單位)

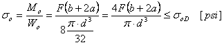
彎曲應力

桿中的壓力

U 形夾中的壓力

剪應力
剪應力

其中:
| | F | 力 [lb] |
| | σ 0 | 彎曲應力 [psia] |
| | σ 0D | 允許的彎曲應力 [psi] |
| | M 0 | 彎矩 [lb ft] |
| | W 0 | 彎曲剖面係數 [in 3 ] |
| | τ | 剪切應力 [psi] |
| | τ D | 允許的剪切應力 [psi] |
| | d | 銷直徑 [in] |
| | p 1 | 桿中的壓力 [psi] |
| | p 2 | U 形夾中的壓力 [psi] |
| | p 1D | 桿中允許的壓力 [psi] |
| | p 2D | U 形夾中允許的壓力 [psi] |
| | b | 桿寬度 [in] |
| | a | U 形夾臂寬 [in] |