皮帶節距長度由帶齒數目和周節決定。皮帶軌線基於個別皮帶輪的位置。每個皮帶輪的節圓直徑都根據以下方程式來確定。調整滑動皮帶輪位置,以達到標準皮帶長度要求。計算使用迭代解決方案來尋找最接近所需滑動皮帶輪位置的適當滑動皮帶輪位置。
確定精確的節圓直徑
|
| 順時鐘時規皮帶輪或雙面皮帶 |
|
| |
|
| 順時鐘平皮帶輪或雙面皮帶 |
D p = D + 2(a + h t ) | |
|
| 逆時鐘時規皮帶輪和單面皮帶 |
D p = D 0 + 2(H - a - h t ) | |
|
| 逆時鐘平皮帶輪和單面皮帶 |
D p = D + 2(H - a - h t ) |
具有 2 個皮帶輪的功率傳輸範例
![]()
接觸弧
![]()
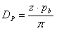
節距皮帶長度
![]()
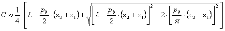
中心距離
![]()
以下公式是建議的在決定新驅動的中心距離時的公式
0.2 p b (z 1 + z 2 ) ≤ C ≤ 0.7 p b (z 1 = z 2 )
所用變數的意義:
z | 指定皮帶輪的輪齒數目/帶齒數目 [-] |
p b | 周節 [m] |
D | 平皮帶輪標稱直徑 [m] |
a | 節距線偏移 [m] |
h t | 帶齒高度 [m] |
D 0 | 時規皮帶輪外徑 [m] |
H | 皮帶高度 [m] |
C | 指定皮帶輪和驅動皮帶輪的中心距離 [m] |
| β | 接觸弧 [deg] |