計算時規皮帶的強度比

 

對於每個皮帶輪

F 2 - F 1 + F p = 0

 

 

 

對於驅動皮帶輪

 

v ≤ v max

 

f b ≤ f max

F c = mv 2

F Tmax = k 1 F p + F c

F 1 = F tmax

F 2 = F 1 - F p

對於單個從動皮帶輪和惰輪

i - 皮帶輪的指數

F Pi = P xi F p

F 1i = F 2i-1

F 2i = F 1i + F p i

其中:

適用於時規皮帶輪

適用於平皮帶輪

對於整個皮帶傳動裝置

需要的皮帶安裝張力根據驅動皮帶輪的力按如下所示確定

帶有惰輪的功率傳輸的範例

驅動皮帶輪

平惰輪

從動皮帶輪

P x1 = 1

P x2 = 0

P x3 = 1

 

 

F P3 = P x3 F p

 

 

 

 

 

 

 

F 12 = F 21

 

 

F 22 = F 12 + F p2 = F 12

 

F c = m v 2

 

 

F Tmax = k 1 F p + F C

-

F 13 = F 22

F 11 = F Tmax

-

F 23 = F 13 + F p3 = F 11

F 21 = F 11 - F p

-

 

 

-

-

所用變數的意義:

F p

有效拔模 [N]

F 1

指定皮帶輪輸入端的皮帶拉力 [N]

F 2

指定皮帶輪輸出端的皮帶拉力 [N]

z

指定皮帶輪的輪齒數目/帶齒數目 [-]

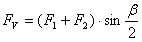
  β

接觸弧形/側面傾斜度的齒角 [deg]

P

要傳輸的功率 [W]

P R

給定傳輸配置的皮帶額定功率 [W]

c L

服務係數 [-]

  β

接觸弧 [deg]

T

作用於給定皮帶輪的扭矩 [Nm]

n

指定皮帶輪的速度 [rpm]

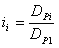
D p

皮帶輪節圓直徑 [m]

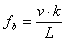
v

皮帶速度 [m/s]

k

皮帶傳輸中的皮帶輪數目 [-]

L

皮帶節距長度 [m]

P

要傳輸的功率 [W]

m

指定寬度的特定皮帶重量 [Kg/m]

k 1

皮帶拉力係數 [-]

F p

有效拔模 [N]

F c

離心力 [N]

F t

最小皮帶安裝拉力 [N]

P xi

給定皮帶輪的功率比 [-]

D pi

皮帶輪節圓直徑 [m]

i

給定皮帶輪的傳輸比 (速率) [-]

T i

作用於給定皮帶輪的扭矩 [Nm]

  η

效率 [-]

p b

周節 [m]

D

平皮帶輪標稱直徑 [m]

H

皮帶高度 [m]

h T

帶齒高度 [m]

a

節距線偏移 [m]

注意事項: i - 皮帶輪的指數

計算基礎