這些公式用於解析帶有多個支撐與負載的軸 (帶有一個或多個剖面) 或樑 (帶有一個固定剖面)。
軸/樑軸線與 Z 軸對齊。如果材料密度的影響包括在計算中,則重力向量與 Y 軸線對齊。
剪力:
![]()
彎矩:
![]()
撓曲角度:
![]()
其中:
E | 拉力彈性係數 | |
J | 慣性矩 | |
G | 剛性係數 | |
| β | 剪位移比率 |
撓曲:
![]()
彎曲應力:
![]()
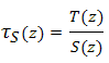
剪力:
![]()
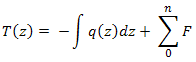
扭轉應力:
![]()
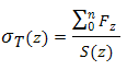
拉伸應力:
![]()
等效應力:
![]()
其中:
| σ B | 彎曲應力 | |
| σ T | 拉伸應力 | |
| τ | 扭轉應力 | |
| τ S | 剪切應力 | |
| α | 對於 HMH,α = 3 | |
| 對於 Tresca-Guest,α = 4 |
範例計算
![]()
彈性係數 E = 210 000 MPa
剛性係數 G = 81 000 MPa
剪位移比率 β = 1.118
等效應力的模式:HMH
不包括材料密度。
支撐力:
![]()
![]()
最大剪應力:
![]()
最大扭轉應力:
![]()
最大力矩:
![]()
最大彎曲應力:
![]()
最大等效應力:
![]()
扭轉角度:
![]()
![]()