U 形鉤銷接合的計算 (公制單位)

彎曲應力

桿中的壓力

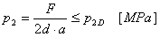
U 形夾中的壓力

剪應力

其中:
| | F | 力 [N] |
| | σ 0 | 彎曲應力 [MPa] |
| | σ 0D | 容許的彎曲應力 [MPa] |
| | M 0 | 彎矩 [N mm] |
| | W 0 | 彎曲剖面係數 [mm 3 ] |
| | τ | 剪切應力 [MPa] |
| | τ D | 允許的剪切應力 [MPa] |
| | d | 銷直徑 [mm] |
| | p 1 | 桿中的壓力 [MPa] |
| | p 2 | U 形夾中的壓力 [MPa] |
| | p 1D | 桿中允許的壓力 [MPa] |
| | p 2D | U 形夾中允許的壓力 [MPa] |
| | b | 桿寬度 [mm] |
| | a | U 形夾臂寬 [mm] |