漸開線栓槽計算公式 (公制單位)

傳遞的扭矩

其中:

 

P

傳遞的功率 [kW]

 

n

速度 [min-1]

槽支撐表面上的壓力

1. 軸內徑 d > 0

a)

b) 如果 d min ≤d h -> d min = 1.1 d h [mm]

c) 如果 d min ≤ 1.5 d h -> d min = 1.5 d h [mm]

2. 軸內徑 d = 0

其中:

 

d min

最小軸直徑 [mm]

 

d h

軸內徑 [mm]

 

T

扭矩 [Nm]

 

K a

應用係數

 

K f

疲勞壽命係數

 

S v

理想的安全度

 

τ Al

允許的剪應力

用於傳遞扭矩的最小栓槽長度

1.固定接頭:

 

2.彈性接頭:

 

其中:

 
 

T

扭矩 [Nm]

 

K a

應用係數

 

K f

磨損壽命係數

 

K w

應用係數

 

K m

負載分配係數

 

S v

理想的安全度

 

d s

中間直徑 = (D + d) / 2 [mm]

 

D

槽剖面的外部直徑 [mm]

 

d

槽剖面的內部直徑 [mm]

 

N

槽數目 [-]

 

h

起槽高度 = (D - d) / 2 [mm]

 

s

倒角 [mm]

 

h st

接頭高度 h st = h - 2 s [mm]

 

p Dmin

軸或槽的支撐曲面上容許的壓力 [MPa]

容許壓力

1.固定接頭:

 

2.彈性接頭:

 

其中:

 
 

T

扭矩 [Nm]

 

K a

應用係數

 

K f

磨損壽命係數

 

K w

應用係數

 

K m

負載分配係數

 

S v

理想的安全度

 

d s

中間直徑 = (D + d) / 2 [mm]

 

D

槽剖面的外部直徑 [mm]

 

d

槽剖面的內部直徑 [mm]

 

N

槽數目 [-]

 

h

起槽高度 = (D - d) / 2 [mm]

 

s

倒角 [mm]

 

h st

接頭高度 h st = h - 2 s [mm]

 

l f

有效鍵長度 [mm]

強度檢查

p min ≤ p ds

p min ≤ p dh

其中:

 

p min

計算的最小 h/2 壓力 [MPa]

 

p ds

桿中容許的壓力 [MPa]

 

p dh

輪轂中容許的壓力 [MPa]

根據 CSN 01 4950 進行公制計算

彎曲應力

其中:

s sf

軸弦齒的齒根厚度

s sf = 2.17m

 

h

軸齒高度

h = 1.1m - 0.05

中心對準於齒側,平槽底

  

h = 1.28m - 0.05

中心對準於齒側,圓槽底

  

h = 1.2 m

中心對準於外部

支撐槽曲面的槽上的壓力

其中:

 

h n

負載軸承的栓槽高度

h n = 0.9 m - 0.05

最小花鍵長度

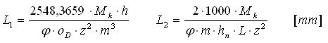
L min = max {L 1 , L 2 } [mm]

其中:

建議值:L = (0.8 - 1.6) D

花鍵檢查

p ≤ p d and σ≤σ d

其中:

 

P

傳遞的功率 [kW]

 

n

速度 [min-1]

 

z

齒數 [-]

 

p D

齒的接觸面容許的壓力 [MPa]

 

σ D

容許的彎曲應力 [MPa]

 

L

有效栓槽長度 [mm]

 

D

額定花鍵直徑 [mm]

   φ

齒側接觸係數