鍵接頭計算公式 (公制單位)

傳遞的扭矩

其中:

 

P

功率 [kW]

 

n

速度 [rpm]

計算最小軸直徑

1. 軸內徑 d > 0

a)

b) 如果 d min ≤d h -> d min = 1.1 d h [mm]

c) 如果 d min ≤ 1.5 d h -> d min = 1.5 d h [mm]

2. 軸內徑 d = 0

其中:

 

d min

最小軸直徑 [mm]

 

d h

軸內徑 [mm]

 

T

扭矩 [Nm]

 

K a

應用係數

 

K f

疲勞壽命係數

 

S v

理想的安全度

 

τ A

允許的剪應力

一般計算

 

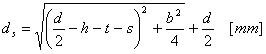
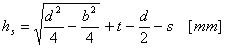
軸上的作用力範圍

h k = h - h s - 2 s [mm]

輪轂上的作用力範圍

 

作用力範圍的軸直徑

 

作用力範圍的輪轂直徑

 

軸上的力

 

輪轂上的力

其中:

 
 

T

扭矩 [Nm]

 

F s

軸上的力 [N]

 

F h

輪轂上的力 [N]

 

K a

應用係數

 

K f

磨損壽命係數

 

K w

應用係數

 

K m

負載分配係數

 

S v

理想的安全度

 

d

軸直徑 [mm]

 

d s

力 F s 啟用處的軸直徑 [mm]

 

d h

力 F d 啟用處的軸直徑 [mm]

 

N

槽數目 [-]

 

h

起槽高度

 

h s

軸上力的作用點高度 [mm]

 

h h

輪轂上力的作用點高度 [mm]

 

b

槽寬度

 

t

軸中槽的深度 [mm]

 

s

倒角

 

p Dmins

允許的最小壓力 (槽,軸) [MPa]

 

p Dminh

允許的最小壓力 (槽,輪轂) [MPa]

轉換扭矩的最小鍵長

1.固定接頭:

a)

 

b)

 

L min = min(L mins , L minh )

2.彈性接頭:

a)

 

b)

 

L min = min(L mins , L minh )

其中:

 
 

F s

軸上的力 [N]

 

F h

輪轂上的力 [N]

 

K a

應用係數

 

K f

磨損壽命係數

 

K w

應用係數

 

K m

負載分配係數

 

S v

理想的安全度

 

d

軸直徑 [mm]

 

N

槽數目 [-]

 

h s

軸上力的作用點高度 [mm]

 

h h

輪轂上力的作用點高度 [mm]

 

p Dmins

允許的最小壓力 (槽,軸) [MPa]

 

p Dminh

允許的最小壓力 (槽,輪轂) [MPa]

允許的最小壓力

1.固定接頭:

a)

 

b)

2.彈性接頭:

a)

 

b)

其中:

 
 

F s

軸上的力 [N]

 

F h

輪轂上的力 [N]

 

K a

應用係數

 

K f

磨損壽命係數

 

K w

應用係數

 

K m

負載分配係數

 

S v

理想的安全度

 

d

槽剖面的內部直徑 [mm]

 

N

槽數目 [-]

 

h s

軸上力的作用點高度 [mm]

 

h h

輪轂上力的作用點高度 [mm]

 

l f

有效鍵長度 [mm]

強度檢查

p mins ≤ p Ds

p minh ≤ p Dh

其中:

 

p mins

軸中最小的計算剪力壓力 [MPa]

 

p minh

輪轂中最小的計算剪力壓力 [MPa]

 

p Ds

桿中容許的壓力 [Mpa]

 

p Dh

輪轂中容許的壓力 [Mpa]

簡化的計算

轉換扭矩的最小鍵長

1.固定接頭:

 

2.彈性接頭:

 

其中:

 
 

T

扭矩 [Nm]

 

K a

應用係數

 

K f

磨損壽命係數

 

K w

應用係數

 

K m

負載分配係數

 

S v

理想的安全度

 

d

軸直徑 [mm]

 

N

槽數目 [-]

 

h

起槽高度

 

s

倒角

 

h st

接頭高度 h st = h - 2 s [mm]

 

p Dmin

軸、槽或輪轂的支撐面上允許的壓力 [MPa]

容許壓力

1.固定接頭:

 

2.彈性接頭:

 

其中:

 
 

T

扭矩 [Nm]

 

K a

應用係數

 

K f

磨損壽命係數

 

K w

應用係數

 

K m

負載分配係數

 

S v

理想的安全度

 

d

軸直徑 [mm]

 

N

槽數目 [-]

 

h

起槽高度

 

s

倒角

 

h st

接頭高度 h st = h - 2 s [mm]

 

l f

有效鍵長度 [mm]

強度檢查

p min ≤ p Ds

p min ≤ p Dh

其中:

 

p min

計算的最小 h/2 壓力 [MPa]

 

p Ds

桿中容許的壓力 [Mpa]

 

p Dh

輪轂中容許的壓力 [Mpa]