分離式輪轂英制計算公式

接觸壓力

最小輪轂長度

建議值:L = (0.6 - 3) d

單一螺栓承受的力

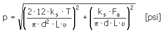
強度檢查

p ≤ p A

其中:

 

F a

軸向力 [lb]

 

T

扭矩 [lb ft]

 

d

軸直徑 [in]

 

p

接合中的接觸壓力 [psi]

 

p A

允許的壓力 [psi]

 

L

輪轂長度 [in]

   υ

鉗緊係數 υ = 0.008 to 0.1 [-]

 

k s

滑動安全 [-]

 

F

單一螺栓承受的力 [lb]

 

F s

所有螺栓承受的力 [lb]

 

i

螺栓總數 [-]