關於手繪雲形線

繪製雲形線草圖時,請嘗試使用最簡單的線 (或線的組合) 來取得所需的結果。

例如,您可能需要建立看起來與下列影像相似的線。

您可使用弧和線的組合來建立此線,亦可使用雲形線。使用雲形線所繪製的線需要更多處理時間,因此可行的話,建議使用弧和線的組合而不是雲形線。

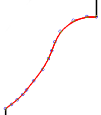
如有必要使用雲形線來建立線,應使用儘可能少的控制點,以保持處理時間最短。下列影像展示了透過選擇多個控制點 (藍色點) 所繪製的雲形線。

如圖所示,您可使用較少的控制點來建立同一雲形線。