Výpočty čepových spojů se závlačkou pro britské jednotky

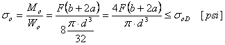
Ohybové napětí

Tlak v táhle

Tlak ve vidlici

Napětí ve střihu
Napětí ve střihu

kde:
| | F | síla [lb] |
| | σ 0 | ohybové napětí [psia] |
| | σ 0D | přípustné napětí v ohybu [psi] |
| | M 0 | ohybový moment [lb ft] |
| | W 0 | modul řezu v ohybu [in 3 ] |
| | τ | smykové napětí [psi] |
| | τ D | přípustné smykové napětí [psi] |
| | d | průměr kolíku [in] |
| | p 1 | tlak v táhle [psia] |
| | p 2 | tlak ve vidlici [psi] |
| | p 1D | přípustný tlak v táhle [psi] |
| | p 2D | přípustný tlak ve vidlici [psi] |
| | b | šířka táhla [in] |
| | a | šířka ramene vidlice [in] |