Výpočty pevnostních poměrů ozubených řemenů
| 
| Pro každou řemenici |
F 2 - F 1 + F p = 0 |
| 
|
| 
|
| 
|
Pro hnací řemenici

| 
| v ≤ v max |
| 
| f b ≤ f max |

F c = mv 2
F Tmax = k 1 F p + F c
F 1 = F tmax
F 2 = F 1 - F p
Pro jednotlivé hnané řemenice a volné kladky
index i řemenice
F Pi = P xi F p



F 1i = F 2i-1
F 2i = F 1i + F p i
kde:
pro synchronní řemenici
pro plochou řemenici
Pro kompletní pohon řemene

Požadované napětí při instalaci řemene je určeno silami působícími na hnací řemenici, a to následovně:

Příklad převodu s volnou kladkou

Hnací řemenice | Plochá volná kladka | Hnaná řemenice |
P x1 = 1 | P x2 = 0 | P x3 = 1 |
| 
| 
| F P3 = P x3 F p |
| 
| 
| 
|
| 
| 
| 
|
| 
| F 12 = F 21 | 
|
| 
| F 22 = F 12 + F p2 = F 12 | 
|
F c = m v 2 | 
| 
|
F Tmax = k 1 F p + F C | - | F 13 = F 22 |
F 11 = F Tmax | - | F 23 = F 13 + F p3 = F 11 |
F 21 = F 11 - F p | - | 
|
| 
| - | - |
Význam použitých proměnných:
F p | Účinný tah [N] |
F 1 | Napětí řemenu na vstupní straně dané řemenice [N] |
F 2 | Napětí řemenu na výstupní straně dané řemenice [N] |
z | Počet zubů dané řemenice / Počet zubů řemenu [-] |
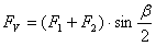
| β | Úhel opásání / úhel sklonu zubů [stupně] |
P | výkon určený k přenosu [W] |
P R | Přenášený výkon řemenu pro dané uspořádání převodu [W] |
c L | Součinitel dynamičnosti [-] |
| β | Úhly opásání [stupně] |
T | Působící krouticí moment na dané řemenici [Nm] |
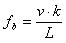
n | Rychlost dané řemenice [ot/min] |
D p | Roztečný průměr řemenice [m] |
v | Rychlost řemenu [m/s] |
k | Počet řemenic v řemenovém převodu [-] |
L | Roztečná délka řemene [m] |
P | výkon určený k přenosu [W] |
m | Měrná hmotnost řemenu pro danou šířku [Kg/m] |
k 1 | Koeficient napětí řemenu [-] |
F p | Účinný tah [N] |
F c | Odstředivá síla [N] |
F t | Minimální napětí řemenu při instalaci [N] |
P xi | Poměr výkonu dané řemenice [-] |
D pi | Roztečný průměr řemenice [m] |
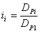
i | Převodový poměr (poměr otáček) dané řemenice [-] |
T i | Působící krouticí moment na dané řemenici [Nm] |
| η | Účinnost [-] |
p b | Obvodová rozteč [m] |
D | Jmenovitý průměr ploché řemenice [m] |
H | Výška řemenu [m] |
h T | Výška zubu řemenu [m] |
a | Odsazení roztečné čáry [m] |
Poznámka: i = index řemenice
Základy výpočtu