Tyto vzorce jsou používány k vyřešení hřídele (s jedním nebo dvěma řezy) nebo nosníku (s jedním stálým řezem) násobnými podpěrami a zátěžemi.
Hřídel / nosník je srovnán s osou Z. Je-li vliv hustoty materiálu zahrnut do výpočtu, bude vektor gravitace srovnán s osou Y.
Smykové síly:
![]()
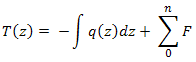
Ohybové momenty:
![]()
Úhel vychýlení:
![]()
kde:
E | modul pružnosti v tahu | |
J | moment setrvačnosti | |
G | modul tuhosti | |
| β | poměr posunu ve smyku |
Vychýlení:
![]()
Napětí v ohybu:
![]()
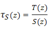
Smykové napětí:
![]()
Napětí v krutu:
![]()
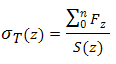
Napětí v tahu:
![]()
Snížené namáhání:
![]()
kde:
| σ B | napětí v ohybu | |
| σ T | napětí v tahu | |
| τ | napětí v krutu | |
| τ S | smykové napětí | |
| α | α = 3 pro HMH | |
| α = 4 pro Tresca-Guest |
Vzorový výpočet
![]()
Modul pružnosti E = 210 000 MPa
Modul tuhosti G = 81 000 MPa
Poměr posunu ve smyku β = 1.118
Režim redukovaného napětí: HMH
Nezahrnout hustotu materiálu.
Podpůrné síly:
![]()
![]()
Maximální napětí ve smyku:
![]()
Maximální napětí v krutu:
![]()
Maximální moment:
![]()
Maximální napětí v ohybu:
![]()
Maximální redukované napětí:
![]()
Úhel zkroucení:
![]()
![]()