Výpočty pevnostních poměrů klínových řemenů

Použité obecné rovnice

 

 

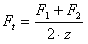
Kde m je měrná hmotnost řemene definovaná jako m = S ρ

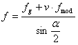
Upravený součinitel dané řemenice

 

 

 

f = f g + v f mod

Základní rovnice pro hnací řemenici a řemen

Výkon určený k přenosu

Rychlost řemene

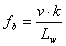
Frekvence napínání řemene

Účinný tah (nebo účinné napnutí)

Odstředivá síla

Fc = z m v 2

Napětí v rozteči řemene

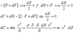
Pomocí následujících rovnic aplikace nejdříve určí nejpodezřelejší řemenici, která vyžaduje maximální napnutí řemene při instalaci, aby bylo přenášeno požadované zatížení. Napnutí řemene v každém oblouku je upraveno pro všechny řemenice s ohledem na původní napnutí řemene při instalaci.

 

 

F 1i - F p P xi - F 2i = 0

 

 

Kritérium nejpodezřelejší řemenice je maximální napnutí sbíhající části

F 1max = max (F 1i )

Celkové maximální napnutí v oblouku řemene (na řemen), když je řemen plně zatížen, je určeno jako

Kde výraz „k 1 F 1max“ je skutečné maximální napětí v rozteči řemene zvažované pro všechny řemeny v řemenovém pohonu. Tímto způsobem jsou všechna odpovídající napětí v jednotlivých roztečích přepočtena tak, aby splňovala následující podmínku:

F 1i - F P P xi - F 2i = 0

Výsledné zatížení osy pro každou řemenici, když je řemenový pohon plně zatížen

Poznámka: Pro hnané řemenice a volné kladky jsou hodnoty F 1 a F 2 v generátoru obráceny tak, že F 1 je napětí rozteče řemene při vstupu a F 2 je napětí rozteče řemene při výstupu – dle pohybu řemene.

Původní napětí řemene při instalaci a statická napínací síla

Požadované původní napnutí řemene při instalaci (na řemen) lze upravit součinitelem napětí a potom určit takto:

Statická napínací síla F v je určena pro každou řemenici. Aplikace vypočte napínací sílu, která působí podél střední linie rozteče řemene následovně:

 

 

Význam použitých proměnných:

FTečná síla [N]
  βÚhly opásání [stupně]
  αÚhel klínu [stupně]
COdstředivá síla [N]
NNormální síla [N]
mMěrná hmotnost řemene [kg/m]
vRychlost řemenu [m/s]
RPoloměr řemenice [m]
SPlocha průřezu řemene [m 2 ]
TPůsobící krouticí moment na dané řemenici [Nm]
D pRoztečný průměr řemenice [m]
kPočet řemenic [-]
Pvýkon určený k přenosu [N]
vRychlost řemenu [m/s]
F cOdstředivá síla [N]
F 1Napětí v oblouku řemene na vstupu pro danou řemenici [-]
F 2Napětí v oblouku řemene na výstupu pro danou řemenici [-]
fSoučinitel změny tření dané řemenice [-]
P xPoměr výkonu dané řemenice [-]
f gSoučinitel tření dané řemenice - materiál a řemen [-]

f mod

Součinitel rychlosti změny tření [s/m]
ZPočet řemenů [-]
  ρMěrná hustota řemene [kg/m3]
F tVýchozí napětí řemene [N
F vStatická síla napětí pro danou řemenici [N]
k 1Koeficient napětí řemenu [-]
Poznámka: i – index řemenice