Výpočty délky klínových řemenů

Délka řemene je určena ve jmenovitém nebo účinném systému. Z tohoto důvodu se pro každou řemenici určují nejdříve jmenovitý a účinný průměr. Trajektorie řemene je založena na pozici jednotlivých řemenic. Pozice posuvné řemenice je upravena, aby bylo splněno kritérium standardní délky řemene. Výpočet používá přírůstkové řešení k nalezení vhodné pozice posuvné řemenice, která je nejblíže požadované (nebo aktuální) pozici posuvné řemenice.

Průměry řemenic

 

Řemenice s drážkou

D e = D w + 2 h w

D p = D w + 2 a

D d = D w

 

Plochá řemenice ve směru hodinových ručiček

D e = D + 2 h

D p = D + 2 (h - h w + a)

D d = D + 2(h - h w )

 

Plochá řemenice proti směru hodinových ručiček

D e = D

D p = D + 2 (h w - a)

D d = D + 2 h w

Příklad převodu výkonu se dvěma řemenicemi

V tomto příkladu je použit jmenovitý systém.

Úhel opásání

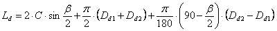
Jmenovitá délka řemene

Vzdálenost os

Následující vzorec je doporučen při určování vzdálenosti os nového pohonu

0.7 (D d1 + D d2 ) ≤ C ≤ 2(D d1 + D d2 )

Význam použitých proměnných:

D W

Jmenovitý průměr (jmenovitý nebo účinný) [m]

D e

Efektivní (vnější) průměr ozubené řemenice [m]

h w

Jmenovitá výška (pro výkonný systém h w = 0) [m]

a

Odsazení roztečné čáry (pro účinný systém je záporné) [m]

D

Jmenovitý a vnější průměr ploché řemenice [m]

h

Výška řemenu [m]

D d

Jmenovitý průměr řemenice [m]

C

Osová vzdálenost [m]

  β

Úhly opásání [stupně]

L d

Jmenovitá délka řemene [m]