Výpočty čepových spojů pro metrické jednotky

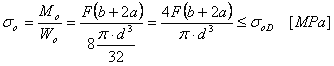
Ohybové napětí

Tlak v táhle

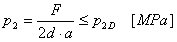
Tlak ve vidlici

Napětí ve střihu

kde:
| | F | síla [N] |
| | σ 0 | ohybové napětí [MPa] |
| | σ 0D | dovolené napětí v ohybu [MPa] |
| | M 0 | ohybový moment [N mm] |
| | W 0 | modul řezu v ohybu [mm 3 ] |
| | τ | smykové napětí [MPa] |
| | τ D | přípustné smykové napětí [MPa] |
| | d | průměr kolíku [mm] |
| | p 1 | tlak v táhle [MPa] |
| | p 2 | tlak ve vidlici [MPa] |
| | p 1D | přípustný tlak v táhle [MPa] |
| | p 2D | přípustný tlak ve vidlici [MPa] |
| | b | šířka táhla [mm] |
| | a | šířka ramene vidlice [mm] |