Použitím uživatelských výrazů určete přesně jak chcete realizovat rozvinutí zón ohybu v rámci ohnuté plechové části modelů.

Plechové součásti jsou definovány ohnutým nebo funkčním stavem, ale jsou vyráběny z plochého plechu. Ohyby, které se rozvinou, deformují materiál v mezích zóny ohýbání. Rozsah deformace závisí na některých proměnných. Transformace složeného modelu na rovný stav vyžaduje výpočty pro danou deformaci pomocí jedné ze tří metod:
Uživatelské výrazy jsou definovány v rámci pojmenovaného pravidla rozvinu, které je definováno pomocí dialogu Editor stylu a norem.

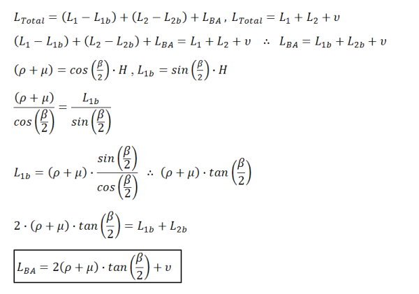
Celkovou rozvinutou délku lze určit pomocí výrazu kompenzace ohybu:

kde:
. je celková rozvinutá délka,
. je délka od první plochy detailu k pomyslné hraně,
. je délka od druhé plochy detailu k pomyslné hraně,
. je výsledek výpočtu přídavku na ohyb. Inventor vypočte přídavek na ohyb pomocí následujících výrazů. Pokud jde o úhlové případy, kde
, používá aplikace Inventor výraz
, kde:
. je úhel ohybu,
. je délka přídavku na ohyb,
. je vnitřní poloměr plochy ohybu,
. je tloušťka plechu,
. je výsledek výpočtu přídavku na ohyb.Rozšíření původního výrazu, aby zahrnoval výpočet přídavku na ohyb, bude následující:


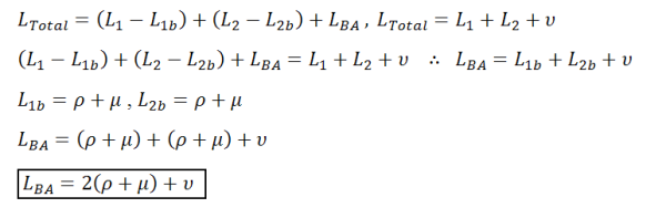
Pokud jde o úhlové případy, kde
, použije se následující výraz:

Rozšíření původního výrazu, aby zahrnoval výpočet přídavku na ohyb, bude následující:


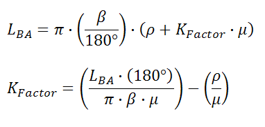
Jakmile je přídavek na ohyb stanoven, kSoučinitel lze odvodit pomocí následujícího vztahu:


Výraz odvození ohybu slouží k určení celkové rozvinuté délky:

kde:
. je celková rozvinutá délka,
. je délka od první plochy detailu k pomyslné hraně,
. je délka od druhé plochy detailu k pomyslné hraně,
. je výsledek výpočtu přídavku na ohyb.Použití výrazu odvození ohybu je metoda výpočtu, která je přesným opakem metody kompenzace ohybu.
Inventor vypočte pro odvození ohybu přídavek na ohyb pomocí následujících výrazů.
Platí-li pro úhel nerovnice:


výraz je
, kde:
. je úhel ohybu,
. je délka přídavku na ohyb,
. je vnitřní poloměr plochy ohybu,
. je tloušťka plechu,
. je výsledek výpočtu přídavku na ohyb.Pokud jde o úhlové případy, kde
, použije se následující výraz: 

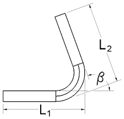
Chcete-li určit celkovou rozvinutou délku
, použijte výraz přídavku na ohyb, kde:
. je celková rozvinutá délka,
. je délka první ohnuté plochy,
. je délka druhé ohnuté plochy
. je výsledek výpočtu přídavku na ohyb.Definovaný výraz je uveden k přímému řešení přídavku na ohyb. KSoučinitel může být odvozen z následujícího výrazu:


Stanovení celkové rozvinuté délky pomocí KSoučinitele používá výraz:

kde:
. je celková rozvinutá délka,
. je délka první ohnuté plochy,
. je délka druhé ohnuté plochy
. je výsledek výpočtu přídavku na ohyb.Přídavek na ohyb je počítán pomocí následující rovnice:

Popisuje, jak lze definovat čtyři typy uživatelských výrazů při úpravě pojmenovaného pravidla rozvinu.
Typ výrazu vybraný v editoru stylů a norem určuje proměnnou, která definuje levou stranu výrazu. Klávesy k zadání znaku v dialogu Úpravy výrazů poskytují možnost vložit jedním kliknutím úhel, poloměr, tloušťku a Pí.
Typ proměnné je definován vybraným typem výrazu v dialogu Editor stylů a norem před otevřením dialogu Úpravy výrazů.
. Vloží změřenou proměnnou úhlu do uživatelského výrazu rozvinu.
. Vloží změřenou proměnnou vnitřního poloměru do uživatelského výrazu rozvinu.
. Vloží změřenou proměnnou tloušťky do uživatelského výrazu rozvinu.
. Vloží matematickou hodnotu Pí do uživatelského výrazu rozvinu.Výrazy rozvinu lze definovat u rozsahů úhlů, poloměrů nebo tloušťek tak, že určíte hraniční podmínky pomocí dialogu Úpravy ohraničení.