Výpočetní vzorce pro evolventní drážkování v metrických jednotkách
Přenášený krouticí moment

kde:
| | P | přenášený výkon [kW] |
| | n | otáčky [min -1 ] |
Tlak v opěrné ploše drážky
1. vnitřní průměr hřídele d h > 0
a) 
b) je-li d min ≤d h -> d min = 1.1 d h [mm]
c) je-li d min ≤ 1,5 d h -> d min = 1.5 d h [mm]
2. vnitřní průměr hřídele d h = 0

kde:
| | d min | minimální průměr hřídele [mm] |
| | d h | vnitřní průměr hřídele [mm] |
| | T | krouticí moment [Nm] |
| | K a | koeficient použití |
| | K f | koeficient životnosti |
| | S v | požadovaná bezpečnost |
| | τ Al | dovolené napětí ve smyku |
Minimální délka drážkování k přenosu krouticího momentu
1. Pevné spojení: | |
2. Pružné spojení: | |
kde: | |
| | T | krouticí moment [Nm] |
| | K a | koeficient použití |
| | K f | koeficient opotřebení |
| | K w | koeficient použití |
| | K m | koeficient rozložení zatížení |
| | S v | požadovaná bezpečnost |
| | d s | střední průměr = (D + d) / 2 [mm] |
| | D | vnější průměr drážkového profilu [mm] |
| | d | vnitřní průměr drážkového profilu [mm] |
| | N | počet drážek [-] |
| | h | výška drážky = (D - d) / 2 [mm] |
| | s | zkosení [mm] |
| | h st | výška spojení h st = h - 2 s [mm] |
| | p Dmin | dovolený tlak v opěrné ploše hřídele nebo drážky [MPa] |
Dovolený tlak
1. Pevné spojení: | |
2. Pružné spojení: | |
kde: | |
| | T | krouticí moment [Nm] |
| | K a | koeficient použití |
| | K f | koeficient opotřebení |
| | K w | koeficient použití |
| | K m | koeficient rozložení zatížení |
| | S v | požadovaná bezpečnost |
| | d s | střední průměr = (D + d) / 2 [mm] |
| | D | vnější průměr drážkového profilu [mm] |
| | d | vnitřní průměr drážkového profilu [mm] |
| | N | počet drážek [-] |
| | h | výška drážky = (D - d) / 2 [mm] |
| | s | zkosení [mm] |
| | h st | výška spojení h st = h - 2 s [mm] |
| | l f | funkční délka pera [mm] |
Pevnostní kontrola
p min ≤ p ds
p min ≤ p dh
kde:
| | p min | minimální vypočtený tlak h/2 [MPa] |
| | p ds | dovolený tlak v hřídeli [MPa] |
| | p dh | dovolený tlak v náboji [MPa] |
Metrický výpočet dle ČSN 01 4950
Ohybové napětí

kde:
s sf | tloušťka paty zubu hřídele na tětivě | s sf = 2.17m | |
h | výška zubu hřídele | h = 1,1m - 0.05 | středění na boky zubů, ploché dno drážky |
| | | h = 1,28m - 0,05 | středění na boky zubů, zaoblené dno drážky |
| | | h = 1,2 m | vnější středění |
Tlak v opěrné ploše drážky

kde:
| | h n | nosná výška drážkování | h n = 0.9 m - 0.05 |
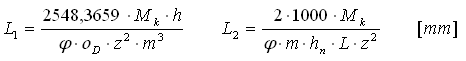
Minimální délka drážkování
L min = max {L 1 , L 2 } [mm]
kde:

Doporučené hodnoty: L = (0,8 - 1,6) D
Kontrola drážkování
p ≤ p d a σ≤σ d
kde:
| | P | přenášený výkon [kW] |
| | n | otáčky [min -1 ] |
| | z | počet zubů [-] |
| | p D | dovolený tlak na styčných plochách zubů [MPa] |
| | σ D | dovolené napětí v ohybu [MPa] |
| | L | činná délka drážkovaného spoje [mm] |
| | D | jmenovitý průměr drážkování [mm] |
| | φ | součinitel styku boků zubů |