Výpočetní vzorce pro spoje s perem v metrických jednotkách

Přenášený krouticí moment

kde:
| | P | výkon [kW] |
| | n | otáčky [ot/min] |
Výpočet minimálního průměru hřídele
1. vnitřní průměr hřídele d h > 0
a) 
b) je-li d min ≤d h -> d min = 1.1 d h [mm]
c) je-li d min ≤ 1,5 d h -> d min = 1.5 d h [mm]
2. vnitřní průměr hřídele d h = 0

kde:
| | d min | minimální průměr hřídele [mm] |
| | d h | vnitřní průměr hřídele [mm] |
| | T | krouticí moment [Nm] |
| | K a | koeficient použití |
| | K f | koeficient životnosti |
| | S v | požadovaná bezpečnost |
| | τ A | dovolené napětí ve smyku |
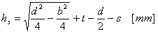
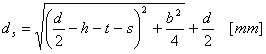
Obecný výpočet
| | rozsah působení sil na hřídel |
h k = h - h s - 2 s [mm] | rozsah působení sil na náboj |
| | průměr hřídele rozsahu působení sil |
| | průměr náboje rozsahu působení sil |
| | síla na hřídel |
| | síla na náboj |
kde: | |
| | T | krouticí moment [Nm] |
| | F s | síla na hřídel [N] |
| | F h | síla na náboj [N] |
| | K a | koeficient použití |
| | K f | koeficient opotřebení |
| | K w | koeficient použití |
| | K m | koeficient rozložení zatížení |
| | S v | požadovaná bezpečnost |
| | d | průměr hřídele [mm] |
| | d s | průměr hřídele, kde působí síla F s [mm] |
| | d h | průměr hřídele, kde působí síla F d [mm] |
| | N | počet drážek [-] |
| | h | výška drážky |
| | h s | výška působiště síly na hřídeli [mm] |
| | h h | výška působiště síly na náboji [mm] |
| | b | šířka drážky |
| | t | hloubka drážky v hřídeli [mm] |
| | s | zkosení |
| | p Dmins | minimální dovolený tlak (drážka, hřídel) [MPa] |
| | p Dminh | minimální dovolený tlak (drážka, náboj) [MPa] |
Minimální délka pera k přenosu krouticího momentu
1. Pevné spojení: | a) |
| | b) |
| | L min = min(L mins , L minh ) |
2. Pružné spojení: | a) |
| | b) |
| | L min = min(L mins , L minh ) |
kde: | |
| | F s | síla na hřídel [N] |
| | F h | síla na náboj [N] |
| | K a | koeficient použití |
| | K f | koeficient opotřebení |
| | K w | koeficient použití |
| | K m | koeficient rozložení zatížení |
| | S v | požadovaná bezpečnost |
| | d | průměr hřídele [mm] |
| | N | počet drážek [-] |
| | h s | výška působiště síly na hřídeli [mm] |
| | h h | výška působiště síly na náboji [mm] |
| | p Dmins | minimální dovolený tlak (drážka, hřídel) [MPa] |
| | p Dminh | minimální dovolený tlak (drážka, náboj) [MPa] |
Minimální přípustný tlak
1. Pevné spojení: | a) |
| | b) |
2. Pružné spojení: | a) |
| | b) |
kde: | |
| | F s | síla na hřídel [N] |
| | F h | síla na náboj [N] |
| | K a | koeficient použití |
| | K f | koeficient opotřebení |
| | K w | koeficient použití |
| | K m | koeficient rozložení zatížení |
| | S v | požadovaná bezpečnost |
| | d | vnitřní průměr drážkového profilu [mm] |
| | N | počet drážek [-] |
| | h s | výška působiště síly na hřídeli [mm] |
| | h h | výška působiště síly na náboji [mm] |
| | l f | funkční délka pera [mm] |
Pevnostní kontrola
p mins ≤ p Ds
p minh ≤ p Dh
kde:
| | p mins | minimální vypočtený tlak ve smyku v hřídeli [MPa] |
| | p minh | minimální vypočtený tlak ve smyku v náboji [MPa] |
| | p Ds | dovolený tlak v hřídeli [MPa] |
| | p Dh | dovolený tlak v náboji [MPa] |
Zjednodušený výpočet
Minimální délka pera k přenosu krouticího momentu
1. Pevné spojení: | |
2. Pružné spojení: | |
kde: | |
| | T | krouticí moment [Nm] |
| | K a | koeficient použití |
| | K f | koeficient opotřebení |
| | K w | koeficient použití |
| | K m | koeficient rozložení zatížení |
| | S v | požadovaná bezpečnost |
| | d | průměr hřídele [mm] |
| | N | počet drážek [-] |
| | h | výška drážky |
| | s | zkosení |
| | h st | výška spojení h st = h - 2 s [mm] |
| | p Dmin | přípustný tlak v opěrné ploše hřídele, drážky nebo náboje [MPa] |
Dovolený tlak
1. Pevné spojení: | |
2. Pružné spojení: | |
kde: | |
| | T | krouticí moment [Nm] |
| | K a | koeficient použití |
| | K f | koeficient opotřebení |
| | K w | koeficient použití |
| | K m | koeficient rozložení zatížení |
| | S v | požadovaná bezpečnost |
| | d | průměr hřídele [mm] |
| | N | počet drážek [-] |
| | h | výška drážky |
| | s | zkosení |
| | h st | výška spojení h st = h - 2 s [mm] |
| | l f | funkční délka pera [mm] |
Pevnostní kontrola
p min ≤ p Ds
p min ≤ p Dh
kde:
| | p min | minimální vypočtený tlak h/2 [MPa] |
| | p Ds | dovolený tlak v hřídeli [MPa] |
| | p Dh | dovolený tlak v náboji [MPa] |