Vzorce pro výpočty dělených nábojů v britských jednotkách

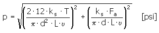
Dotykový tlak

Minimální délka náboje

Doporučené hodnoty: L = (0,6 - 3) d
Síla připadající na jeden šroub

Pevnostní kontrola
p ≤ p A
kde:
| | F a | axiální síla [lb] |
| | T | krouticí moment [lb ft] |
| | d | průměr hřídele [in] |
| | p | dotykový tlak ve spoji [psi] |
| | p A | přípustný tlak [psi] |
| | L | délka náboje [in] |
| | υ | součinitel sevření υ = 0.008 to 0.1 [-] |
| | k s | zabezpečení proti skluzu [-] |
| | F | síla připadající na jeden šroub [lb] |
| | F s | celková síla připadající na všechny šrouby [lb] |
| | i | celkový počet šroubů [-] |