Das Christensen-Kriterium [17] verwendet die folgenden sechs grundlegenden Festigkeiten des Verbundmaterials, um zwei unterschiedliche Ausfallmodi zu identifizieren.
Die beiden Ausfallmodi sind das Matrix- und das Faserversagen.
= Wert von σ11 bei Ausfall durch Längszug
= Wert von σ11 bei Ausfall durch Längsdruck
= Wert von σ22 bei Ausfall durch Querzug
= Wert von σ22 bei Ausfall durch Querdruck
= Absoluter Wert von σ12 bei Ausfall durch Längsscherung
= Absoluter Wert von σ23 bei Ausfall durch Querscherung
Die Gleichung für das Matrixausfallkriterium lautet

wobei die Querscherfestigkeit S23 folgendes erfüllen muss:

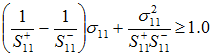
Die Gleichung für das Faserausfallkriterium lautet
