Das Hashin-Kriterium [16] identifiziert vier verschiedene Ausfallmodi für Verbundmaterialien.
Die vier Modi sind: Faserausfall durch Zug, Faserausfall durch Druck, Matrixausfall durch Zug, Matrixausfall durch Druck.
= Wert von σ11 bei Ausfall durch Längszug
= Wert von σ11 bei Ausfall durch Längsdruck
= Wert von σ22 bei Ausfall durch Querzug
= Wert von σ22 bei Ausfall durch Querdruck
= Absoluter Wert von σ12 bei Ausfall durch Längsscherung
= Absoluter Wert von σ23 bei Ausfall durch Querscherung
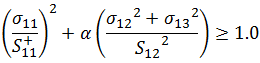
Bei σ11 ≥ 0 lautet das Kriterium für Faserausfall durch Zug:

Bei σ11 < 0 lautet das Kriterium für Faserausfall durch Druck:

Bei σ22 + σ33 ≥ 0 lautet das Kriterium für Matrixausfall durch Zug:

Bei σ22 + σ33 ≥ 0 lautet das Kriterium für Matrixausfall durch Druck:
