Es gibt zwei verschiedene zugkraftbasierte Delaminierungsbeginnkriterien, die in Helius PFA implementiert sind.
Für alle in Helius PFA implementierten Delaminierungsmodelle basiert die Prognose für den Beginn der Delaminierung auf den Zugkräften (tn, ts, tt), die an den Integrationspunkten der kohäsiven Elemente auftreten.
Kriterium der maximalen Spannung:

Kriterium der quadratischen Spannung:

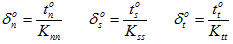
Angenommen, das aktuelle Verhältnis zwischen den drei Zugkräften (tn : ts : tt) bleibt bei zunehmender Last konstant; dann können wir die Zugkräfte
berechnen, bei denen die Delaminierung beginnt. Für das Kriterium der quadratischen Spannung sind diese anfänglichen Zugkräfte

Nochmals angenommen, das aktuelle Verhältnis zwischen den drei Zugkräften (tn : ts : tt) bleibt bei zunehmender Last konstant; dann können wir die entsprechenden relativen Verschiebungen bei Delaminierungsbeginn berechnen als
