Hier erfahren Sie, welches Matrixausfallkriterium für gewebte Verbundmaterialien verwendet wird.
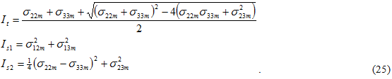
Es ist nicht ratsam, ein Kriterium mit zehn Koeffizienten auf ein gewebtes Verbundmatrixmaterial mit nicht optimal charakterisierten Festigkeiten anzuwenden. Aus diesem Grund enthält das Matrixausfallkriterium für gewebte Verbundwerkstoffe nur drei einstellbare Parameter, die direkt mithilfe der drei gemessenen Kniestärken des gewebten Materials angepasst werden. Wie bei den unidirektionalen Verbundwerkstoffen werden unveränderliche Größen verwendet. Wählen Sie als Invarianten It, Is1 und IS2; sie beschreiben die normale maximale Zugspannung für die Faserrichtung, die maximale Längsscherspannung bzw. die maximale Querscherspannung. Das Kriterium ist einfach eine quadratische Kombination dieser Invarianten.

Dabei gilt:

{} bezeichnen Macaulay-Klammern, bei denen der Wert null ist, wenn die Größe innerhalb der Klammern negativ ist. Andernfalls entspricht der Wert der Größe innerhalb der Klammern. Dadurch wird sichergestellt, dass die Zug- und Scherspannungen zusammen den Ausfall verursachen, aber dass die Druckspannungen nicht die Scherfestigkeit reduzieren.
Wie bei den unidirektionalen Verbundwerkstoffen werden die Matrixeigenschaften isotrop degradiert, wenn das Auftreten eines Ausfalls vorherbestimmt ist.