Bolzenverbindungsberechnungen für englische Einheiten

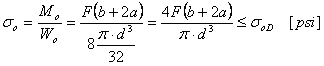
Biegespannung

Druck im Stab

Druck im Zapfen

Scherspannung
Scherspannung

Dabei gilt:
| | F | Kraft [lb] |
| | σ 0 | Biegespannung [psi] |
| | σ 0D | Zulässige Biegespannung [psi] |
| | M 0 | Biegemoment [lb ft] |
| | W 0 | Widerstandsmoment der Biegung [in 3 ] |
| | τ | Scherspannung [psi] |
| | τ D | Zulässige Scherspannung [psi] |
| | d | Stiftdurchmesser [in] |
| | p 1 | Druck im Stab [psi] |
| | p 2 | Druck im Zapfen [psi] |
| | p 1D | Zulässiger Druck im Stab [psi] |
| | p 2D | Zulässiger Druck im Zapfen [psi] |
| | b | Stabbreite [in] |
| | a | Zapfenarmbreite [in] |