Berechnen von Zahnriemen-Festigkeitsverhältnissen
| 
| Für jede Riemenscheibe gilt Folgendes: |
F 2 - F 1 + F p = 0 |
| 
|
| 
|
| 
|
Für die antreibende Riemenscheibe gilt Folgendes:

| 
| v ≤ v max |
| 
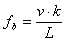
| f b ≤ f max |

F c = mv 2
F Tmax = k 1 F p + F c
F 1 = F tmax
F 2 = F 1 - F p
Für einzelne angetriebene Riemenscheiben und Spannrollen gilt Folgendes:
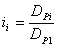
i - Index der Riemenscheibe
F Pi = P xi F p



F 1i = F 2i-1
F 2i = F 1i + F p i
Dabei gilt:
für synchrone Riemenscheibe
für flache Riemenscheibe
Für das gesamte Riemengetriebe

Die erforderliche Riemenspannung bei Installation wird wie folgt aus Kräften abgeleitet, die auf die Riemenscheibe wirken:

Beispiel einer Leistungsübertragung mit Spannrolle

Antriebsrolle | Spannrolle | Angetriebene Riemenscheibe |
P x1 = 1 | P x2 = 0 | P x3 = 1 |
| 
| 
| F P3 = P x3 F p |
| 
| 
| 
|
| 
| 
| 
|
| 
| F 12 = F 21 | 
|
| 
| F 22 = F 12 + F p2 = F 12 | 
|
F c = m v 2 | 
| 
|
F Tmax = k 1 F p + F C | - | F 13 = F 22 |
F 11 = F Tmax | - | F 23 = F 13 + F p3 = F 11 |
F 21 = F 11 - F p | - | 
|
| 
| - | - |
Bedeutung der verwendeten Variablen:
F p | Riemenzugkraft [N] |
F 1 | Riemenspannung an der Eingabeseite der jeweiligen Riemenscheibe [N] |
F 2 | Riemenspannung an der Ausgabeseite der jeweiligen Riemenscheibe [N] |
Z | Anzahl der Zähne der jeweiligen Riemenscheibe / Anzahl der Riemenzähne [-] |
| β | Umspannungswinkel / Winkel der Zahnschräge [°] |
P | Zu übertragende Leistung [W] |
P R | Riemennennleistung für das jeweilige Getriebelayout [W] |
c L | Gebrauchsdauerkoeffizient [-] |
| β | Umspannungswinkel [°] |
T | Auf die jeweilige Riemenscheibe einwirkendes Drehmoment [Nm] |
n | Geschwindigkeit der jeweiligen Riemenscheibe [U/min] |
D p | Teilkreisdurchmesser der Riemenscheibe [m] |
v | Riemengeschwindigkeit [m/s] |
k | Anzahl der Riemenscheiben im Riemengetriebe [-] |
L | Teilriemenlänge [m] |
P | Zu übertragende Leistung [W] |
m | Spezifisches Riemengewicht für die jeweilige Breite [kg/m] |
k 1 | Zugkoeffizient des Riemens [-] |
F p | Riemenzugkraft [N] |
F c | Zentrifugalkraft [N] |
F t | Minimaler Riemeninstallationszug [N] |
P xi | Leistungsverhältnis der jeweiligen Riemenscheibe [-] |
D pi | Teilkreisdurchmesser der Riemenscheibe [m] |
i | Übertragungsverhältnis (Geschwindigkeitsverhältnis) der jeweiligen Riemenscheibe [-] |
T i | Auf die jeweilige Riemenscheibe einwirkendes Drehmoment [Nm] |
| η | Wirkungsgrad [-] |
p b | Zahnkreisteilung [m] |
D | Nenndurchmesser der flachen Riemenscheibe [m] |
H | Riemenhöhe [m] |
h T | Riemenzahnhöhe [m] |
a | Teillinienversatz [m] |
Anmerkung: i = Index der Riemenscheibe
Berechnungsgrundlagen