Berechnen von Keilriemen-Festigkeitsverhältnissen

Verwendete allgemeine Gleichungen

 

 

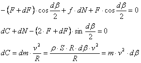
Dabei gilt: m ist eine spezifische Masse des Riemens, definiert als m = S ρ

Geänderter Reibungskoeffizient der jeweiligen Riemenscheibe

 

 

 

f = f g + v f mod

Fundamentale Gleichungen für antreibende Riemenscheibe und Riemen

Zu übertragende Leistung

Riemengeschwindigkeit

Riemenbiegefrequenz

Riemenzugkraft (oder effektive Spannung)

Zentrifugalkraft

Fc = z m v 2

Spannung in Riemenabschnitten

Mit den folgenden Gleichungen wird von der Anwendung zunächst die Riemenscheibe bestimmt, die als am problematischsten eingeschätzt wird. Zum Übertragen einer Belastung ist hier der maximale Riemeninstallationszug erforderlich. Anschließend wird für alle Riemenscheiben die Riemenspannung in jedem Abschnitt entsprechend angepasst. Ausgangspunkt ist dabei der anfängliche Riemeninstallationszug.

 

 

F 1i - F p P xi - F 2i = 0

 

 

Kriterium für die als am problematischsten eingeschätzte Riemenscheibe ist die maximale Spannung der gespannten Seite:

F 1max = max (F 1i)

Der Maximalzug in der Riemenspannung insgesamt (pro Riemen) bei voller Belastung des Riemengetriebes wird wie folgt bestimmt:

Dabei ist der Ausdruck "k 1 F 1max" der tatsächliche Maximalzug in Riemenspannung, der für alle Riemen in dem Riemenantrieb berücksichtigt wird. Auf diese Weise wird der Zug in einzelnen Spannungen neu berechnet, sodass die folgenden Bedingungen erfüllt sind:

F 1i - F P P xi - F 2i = 0

Resultierende Achsenbelastung für jede Riemenscheibe bei voller Belastung des Riemengetriebes:

Anmerkung: Für angetriebene Riemenscheiben und Leitrollen werden F 1 und F 2 im Generator umgekehrt, sodass F 1 die Eingaberiemenspannung und F 2 die Ausgaberiemenspannung in Bewegungsrichtung des Riemens ist.

Anfänglicher Riemeninstallationszug und statische Zugkraft

Der erforderliche anfängliche Riemeninstallationszug (pro Riemen) kann über den Zugkoeffizienten angepasst und wie folgt bestimmt werden:

Die statische Spannkraft F v wird für jede Riemenscheibe ermittelt. Die Anwendung ermittelt die Spannkraft, die sich entlang der Mittellinien des Riemens aufbaut, wie folgt:

 

 

Bedeutung der verwendeten Variablen:

FTangentialkraft [N]
  βUmspannungswinkel [°]
  αEckenwinkel [°]
CZentrifugalkraft [N]
NNormalkraft [N]
mSpezifisches Riemengewicht [kg/m]
vRiemengeschwindigkeit [m/s]
RRiemenscheibenradius [m]
SRiemenquerschnittsfläche [m 2]
TAuf die jeweilige Riemenscheibe einwirkendes Drehmoment [Nm]
D pTeilkreisdurchmesser der Riemenscheibe [m]
kAnzahl der Riemenscheiben [-]
PZu übertragende Leistung [N]
vRiemengeschwindigkeit [m/s]
F cZentrifugalkraft [N]
F 1Spannung im Riemenabschnitt bei Eingabe für die jeweilige Riemenscheibe [-]
F 2Spannung im Riemenabschnitt bei Ausgabe für die jeweilige Riemenscheibe [-]
fGeänderter Reibungskoeffizient der jeweiligen Riemenscheibe [-]
P xLeistungsverhältnis der jeweiligen Riemenscheibe [-]
f gReibungskoeffizient des jeweiligen Riemenscheibenmaterials und Riemens [-]

f mod

Drehzahlkoeffizient der Reibungsänderung [s/m]
ZAnzahl der Riemen [-]
  ρRiemendichte [kg/m3]
F tAnfänglicher Riemeninstallationszug [N]
F vStatische Zugkraft für die jeweilige Riemenscheibe [N]
k 1Zugkoeffizient des Riemens [-]
Anmerkung: i = Index der Riemenscheibe