Berechnungen für Bolzenverbindungen in metrischen Einheiten

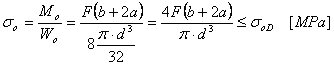
Biegespannung

Druck im Stab

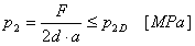
Druck im Zapfen

Scherspannung

Dabei gilt:
| | F | Kraft [N] |
| | σ 0 | Biegespannung [MPa] |
| | σ 0D | Zulässige Biegespannung [MPa] |
| | M 0 | Biegemoment [N mm] |
| | W 0 | Widerstandsmoment der Biegung [mm 3 ] |
| | τ | Scherspannung [MPa] |
| | τ D | Zulässige Scherspannung [MPa] |
| | d | Stiftdurchmesser [mm] |
| | p 1 | Druck im Stab [MPa] |
| | p 2 | Druck im Zapfen [MPa] |
| | p 1D | Zulässiger Druck im Stab [MPa] |
| | p 2D | Zulässiger Druck im Zapfen [MPa] |
| | b | Stabbreite [mm] |
| | a | Zapfenarmbreite [mm] |