Diese Formeln werden verwendet, um entweder eine Welle (mit mind. einem Schnitt) oder einen Träger (mit einem konstantem Schnitt) mit mehreren Auflagern und Lasten zu berechnen.
Die Wellen-/Trägerachse ist an der Z-Achse ausgerichtet. Wenn die Auswirkungen auf die Materialdichte in die Berechnung mit einbezogen werden, wird der Schwerkraftvektor an der Y-Achse ausgerichtet.
Schubkräfte:
![]()
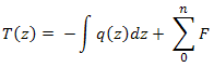
Biegemomente:
![]()
Durchbiegungswinkel:
![]()
Dabei gilt:
E | Elastizitätsmodul bei Spannung | |
J | Trägheitsmoment | |
G | Schubelastizitätsmodul | |
| β | Koeffizient für Schubverschiebung |
Durchbiegung:
![]()
Biegespannung:
![]()
Scherspannung:
![]()
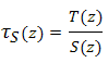
Torsionsspannung:
![]()
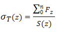
Spannung:
![]()
Reduzierte Spannung:
![]()
Dabei gilt:
| σ B | Biegespannung | |
| σ T | Spannung | |
| τ | Torsionsspannung | |
| τ S | Scherspannung | |
| α | α = 3 für HMH | |
| α = 4 für Tresca-Guest |
Beispielberechnung
![]()
Elastizitätsmodul E = 210 000 MPa
Schubelastizitätsmodul G = 81 000 MPa
Koeffizient für Schubverschiebung β = 1.118
Modus der reduzierten Spannung: HMH
Die Materialdichte soll nicht berücksichtigt werden.
Gegenkräfte:
![]()
![]()
Maximale Scherspannung:
![]()
Maximale Torsionsspannung:
![]()
Maximales Moment:
![]()
Maximale Biegespannung:
![]()
Maximale reduzierte Spannung:
![]()
Verdrehungswinkel:
![]()
![]()