Formeln zur Berechnung von Kerbzahnprofilen in metrischen Einheiten
Übertragenes Drehmoment

Dabei gilt:
| | P | Übertragene Leistung [kW] |
| | n | Drehzahl [min -1] |
Druck auf die tragende Fläche der Nut
1. Innendurchmesser der Welle d h > 0
a) 
b) wenn d min ≤d h -> d min = 1.1 d h [mm]
c) wenn d min ≤ 1.5 d h -> d min = 1.5 d h [mm]
2. Innendurchmesser der Welle d h = 0

Dabei gilt:
| | d min | Minimaler Wellendurchmesser [mm] |
| | d h | Innendurchmesser der Welle [mm] |
| | T | Drehmoment [Nm] |
| | K a | Anwendungskoeffizient |
| | K f | Gebrauchsermüdungskoeffizient |
| | S v | Angestrebte Sicherheit |
| | τ Al | Zulässige Scherspannung |
Minimale Länge der Kerbverzahnungen zum Übertragen des Drehmoments
1. Feste Verbindung: | |
2. Flexible Verbindung: | |
Dabei gilt: | |
| | T | Drehmoment [Nm] |
| | K a | Anwendungskoeffizient |
| | K f | Gebrauchsabnutzungskoeffizient |
| | K w | Anwendungskoeffizient |
| | K m | Koeffizient für Lastverteilung |
| | S v | Angestrebte Sicherheit |
| | d s | Mittlerer Durchmesser = (D + d) / 2 [mm] |
| | D | Außendurchmesser des Nutquerschnitts [mm] |
| | d | Innendurchmesser des Nutquerschnitts [mm] |
| | N | Anzahl der Nuten [-] |
| | h | Höhe der Nut = (D - d) / 2 [mm] |
| | s | Fase |
| | h st | Verbindungshöhe h st = h - 2 s [mm] |
| | p Dmin | Zulässiger Druck auf die tragende Fläche von Welle oder Nut [MPa] |
Zulässiger Druck
1. Feste Verbindung: | |
2. Flexible Verbindung: | |
Dabei gilt: | |
| | T | Drehmoment [Nm] |
| | K a | Anwendungskoeffizient |
| | K f | Gebrauchsabnutzungskoeffizient |
| | K w | Anwendungskoeffizient |
| | K m | Koeffizient für Lastverteilung |
| | S v | Angestrebte Sicherheit |
| | d s | Mittlerer Durchmesser = (D + d) / 2 [mm] |
| | D | Außendurchmesser des Nutquerschnitts [mm] |
| | d | Innendurchmesser des Nutquerschnitts [mm] |
| | N | Anzahl der Nuten [-] |
| | h | Höhe der Nut = (D - d) / 2 [mm] |
| | s | Fase |
| | h st | Verbindungshöhe h st = h - 2 s [mm] |
| | l f | Wirksame Federlänge [mm] |
Festigkeitskontrolle
p min ≤ p ds
p min ≤ p dh
Dabei gilt:
| | p min | Minimaler berechneter Druck h/2 [MPa] |
| | p ds | Zulässiger Druck in der Welle [MPa] |
| | p dh | Zulässiger Druck in der Nabe [MPa] |
Metrische Berechnung nach CSN 01 4950
Biegespannung

Dabei gilt:
s sf | Dicke des Wellenzahnfußes | s sf = 2.17m | |
h | Zahnhöhe der Welle | h = 1,1m -0,05 | Zentrieren auf Zahnflanken, flacher Nutboden |
| | | h = 1.28m - 0.05 | Zentrieren auf Zahnflanken, runder Nutboden |
| | | h = 1.2 m | Äußeres Zentrieren |
Druck auf die tragende Fläche der Nut

Dabei gilt:
| | h n | Tragende Höhe der Kerbverzahnung | h n = 0.9 m - 0.05 |
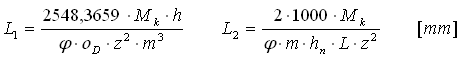
Minimale Länge der Kerbverzahnung
L min = max {L 1 , L 2 } [mm]
Dabei gilt:

Empfohlene Werte: L = (0.8 - 1.6) D
Kontrolle der Kerbverzahnung
p ≤ p d und σ≤σ d
Dabei gilt:
| | P | Übertragene Leistung [kW] |
| | n | Drehzahl [min -1] |
| | Z | Anzahl der Zähne [-] |
| | p D | Zulässiger Druck auf den Kontaktflächen der Zähne [MPa] |
| | σ D | Zulässige Biegespannung [MPa] |
| | L | Aktive Länge Kerbverzahnung [mm] |
| | D | Nenndurchmesser der Kerbverzahnung [mm] |
| | φ | Koeffizient für zahnseitigen Kontakt |