Formeln für die Berechnung von Keilverbindungen in metrischen Einheiten

Übertragenes Drehmoment

Dabei gilt:
| | P | Leistung [kW] |
| | n | Drehzahl [U/min] |
Berechnung des minimalen Wellendurchmessers
1. Innendurchmesser der Welle d h > 0
a) 
b) wenn d min ≤d h -> d min = 1.1 d h [mm]
c) wenn d min ≤ 1.5 d h -> d min = 1.5 d h [mm]
2. Innendurchmesser der Welle d h = 0

Dabei gilt:
| | d min | Minimaler Wellendurchmesser [mm] |
| | d h | Innendurchmesser der Welle [mm] |
| | T | Drehmoment [Nm] |
| | K a | Anwendungskoeffizient |
| | K f | Gebrauchsermüdungskoeffizient |
| | S v | Angestrebte Sicherheit |
| | τ A | Zulässige Scherspannung |
Allgemeine Berechnung
| | Bereich der Kraft an der Welle |
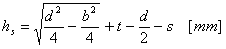
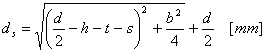
h k = h - h s - 2 s [mm] | Bereich der Kraft an der Nabe |
| | Wellendurchmesser des Bereichs der Kraft |
| | Nabendurchmesser des Bereichs der Kraft |
| | Kraft an der Welle |
| | Kraft an der Nabe |
Dabei gilt: | |
| | T | Drehmoment [Nm] |
| | F s | Kraft an der Welle [N] |
| | F h | Kraft an der Nabe [N] |
| | K a | Anwendungskoeffizient |
| | K f | Gebrauchsabnutzungskoeffizient |
| | K w | Anwendungskoeffizient |
| | K m | Koeffizient für Lastverteilung |
| | S v | Angestrebte Sicherheit |
| | d | Wellendurchmesser [mm] |
| | d s | Wellendurchmesser mit Krafteinwirkung F s [mm] |
| | d h | Wellendurchmesser mit Krafteinwirkung F d [mm] |
| | N | Anzahl der Nuten [-] |
| | h | Höhe der Nut |
| | h s | Höhe des Kraftpunkts an der Welle [mm] |
| | h h | Höhe des Kraftpunkts an der Nabe [mm] |
| | b | Nutbreite [mm] |
| | t | Nuttiefe in der Welle [mm] |
| | s | chamfer |
| | p Dmins | Minimal zulässiger Druck (Nut, Welle) [MPa] |
| | p Dminh | Minimal zulässiger Druck (Nut, Nabe) [MPa] |
Minimale Länge der Feder zum Übertragen des Drehmoments
1. Feste Verbindung: | a) |
| | b) |
| | L min = min(L mins , L minh ) |
2. Flexible Verbindung: | a) |
| | b) |
| | L min = min(L mins , L minh ) |
Dabei gilt: | |
| | F s | Kraft an der Welle [N] |
| | F h | Kraft an der Nabe [N] |
| | K a | Anwendungskoeffizient |
| | K f | Gebrauchsabnutzungskoeffizient |
| | K w | Anwendungskoeffizient |
| | K m | Koeffizient für Lastverteilung |
| | S v | Angestrebte Sicherheit |
| | d | Wellendurchmesser [mm] |
| | N | Anzahl der Nuten [-] |
| | h s | Höhe des Kraftpunkts an der Welle [mm] |
| | h h | Höhe des Kraftpunkts an der Nabe [mm] |
| | p Dmins | Minimal zulässiger Druck (Nut, Welle) [MPa] |
| | p Dminh | Minimal zulässiger Druck (Nut, Nabe) [MPa] |
Minimal zulässiger Druck
1. Feste Verbindung: | a) |
| | b) |
2. Flexible Verbindung: | a) |
| | b) |
Dabei gilt: | |
| | F s | Kraft an der Welle [N] |
| | F h | Kraft an der Nabe [N] |
| | K a | Anwendungskoeffizient |
| | K f | Gebrauchsabnutzungskoeffizient |
| | K w | Anwendungskoeffizient |
| | K m | Koeffizient für Lastverteilung |
| | S v | Angestrebte Sicherheit |
| | d | Innendurchmesser des Nutquerschnitts [mm] |
| | N | Anzahl der Nuten [-] |
| | h s | Höhe des Kraftpunkts an der Welle [mm] |
| | h h | Höhe des Kraftpunkts an der Nabe [mm] |
| | l f | Wirksame Federlänge [mm] |
Festigkeitskontrolle
p mins ≤ p Ds
p minh ≤ p Dh
Dabei gilt:
| | p mins | Minimaler berechneter Schubdruck in der Welle [Mpa] |
| | p minh | Minimaler berechneter Schubdruck in der Nabe [Mpa] |
| | p Ds | Zulässiger Druck in der Welle [Mpa] |
| | p Dh | Zulässiger Druck in der Nabe [Mpa] |
Vereinfachte Berechnung
Minimale Länge der Feder zum Übertragen des Drehmoments
1. Feste Verbindung: | |
2. Flexible Verbindung: | |
Dabei gilt: | |
| | T | Drehmoment [Nm] |
| | K a | Anwendungskoeffizient |
| | K f | Gebrauchsabnutzungskoeffizient |
| | K w | Anwendungskoeffizient |
| | K m | Koeffizient für Lastverteilung |
| | S v | Angestrebte Sicherheit |
| | d | Wellendurchmesser [mm] |
| | N | Anzahl der Nuten [-] |
| | h | Höhe der Nut |
| | s | chamfer |
| | h st | Verbindungshöhe h st = h - 2 s [mm] |
| | p Dmin | Zulässiger Druck auf die tragende Fläche von Welle, Nut oder Nabe [MPa] |
Zulässiger Druck
1. Feste Verbindung: | |
2. Flexible Verbindung: | |
Dabei gilt: | |
| | T | Drehmoment [Nm] |
| | K a | Anwendungskoeffizient |
| | K f | Gebrauchsabnutzungskoeffizient |
| | K w | Anwendungskoeffizient |
| | K m | Koeffizient für Lastverteilung |
| | S v | Angestrebte Sicherheit |
| | d | Wellendurchmesser [mm] |
| | N | Anzahl der Nuten [-] |
| | h | Höhe der Nut |
| | s | chamfer |
| | h st | Verbindungshöhe h st = h - 2 s [mm] |
| | l f | Wirksame Federlänge [mm] |
Festigkeitskontrolle
p min ≤ p Ds
p min ≤ p Dh
Dabei gilt:
| | p min | Minimaler berechneter Druck h/2 [MPa] |
| | p Ds | Zulässiger Druck in der Welle [Mpa] |
| | p Dh | Zulässiger Druck in der Nabe [Mpa] |