Geteilte Nabe - Formeln für die Berechnung in englischen Einheiten

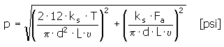
Kontaktdruck

Minimale Nabenlänge

Empfohlene Werte: L = (0.6 - 3) d
Kraft an einer Schraube

Festigkeitskontrolle
p ≤ p A
Dabei gilt:
| | F a | Axialkraft [lb] |
| | T | Drehmoment [lb ft] |
| | d | Wellendurchmesser [in] |
| | p | Kontaktdruck an der Verbindung [psi] |
| | p A | Zulässiger Druck [psi] |
| | L | Nabenlänge [in] |
| | υ | Klemmungskoeffizient υ = 0.008 bis 0.1 [-] |
| | k s | Schlupfsicherheit [-] |
| | F | Kraft an einer Schraube [lb] |
| | F s | Kraft an allen Schrauben [lb] |
| | i | Gesamtzahl der Schrauben [-] |