Rules of Fire Resistance Calculations

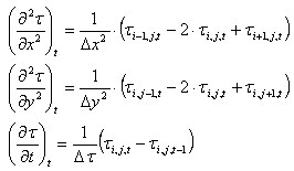
The equation of the heat flow inside the contour shown below may be presented as follows.

where:

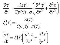
C p - Specific heat (J/kg*K)

λ - Thermal conductivity (W/m*K)

ρ - Unit weight (kg/m 3).

In the differential notation the heat flow equations can be written as:

.

These equations yield:

.

Thus, for K nodes, the system of equations M[KxK] x τ[K] = B[K] will be solved.

Adopted approximations

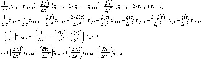
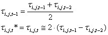
When it is required to know the current temperature to determine coefficients not described by equations, the approximation from previous time steps is applied (forward difference).

For the constant time step Δτ, the following is obtained:

which allows determining:

for the step i = 1 t i,j,1 * = t i,j,o.

Boundary conditions

To the general formulation of the problem, third type boundary conditions are added which are responsible for:

  1. Convection

    where:

    n - Normal to the edge

    Tf - Temperature in the outer environment of the contour identified with the fire temperature.

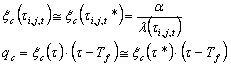
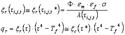
    Assuming that the convection coefficient a is independent of temperature and adopting the approximations discussed earlier, the following is obtained:

    .

  2. Radiation

    where:

    n - Normal to the edge

    T f - Temperature in the outer environment of the contour identified with the fire temperature

    Φ - Configuration coefficient

    ε m - Element emission factor

    ε f - Fire emission factor

    σ - Boltzman constant 5.65*10 8 (W/m 2 *K 4 ).

    Adopting the approximations discussed earlier, the following is obtained:

    .

Assumptions adopted for the DTU P 92-701 code

Assumptions adopted for the EN 1992-1-2 code

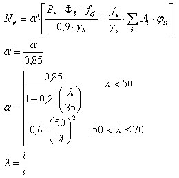
Capacity calculation for the BAEL code - axially-compressed columns

Data necessary for calculations:

f cj - Concrete strength automatically transferred from the RobotRC column module.

Φ b - Coefficient for concrete depending on temperature Φ b (τ), in this case, τ is an average temperature inside the section

f e - Steel strength automatically transferred from the Robot RC column module.

φ si - Coefficient for steel depending on temperature φ s(τ), in this case, τ is a temperature in the i-th bar

l - Column height

N - Maximum load applied to the column

α - Coefficient automatically transferred from the RC column module

B r = A c - 0.01*u c

Br - Reduced sectional area

A c - Sectional area

u c - Section perimeter

γ b - Coefficient for concrete 1.3

γ s - Coefficient for steel 1.0

A i - Area of the i-th reinforcing bar

Capacity of the column:

N/NQ > 1.0