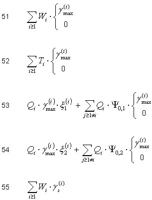
Live Loads

0

No rule. Used when a rule in the formula of a combination for a given load type is not defined.

The rule does not take subnatures into account.

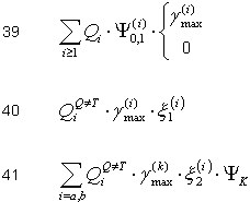
Note: The formula allows one factor ψ 0,1 and one factor ψ K for all subnatures.
Note: The formula allows one factor ψ 0,1 and one factor ψ K for all subnatures.
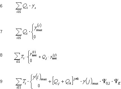
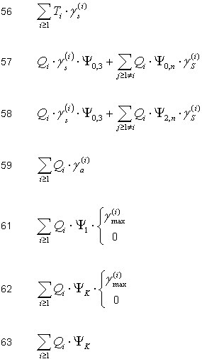
Note: The formula allows one factor ψ 0,3 for all subnatures.
Note: The formula allows one factor ψ 0,3 and one factor ψ K for all subnatures.
Note: The formula allows one factor ψ 0,1 and one factor ψ K for all subnatures.
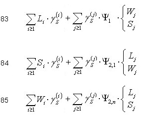
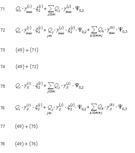
Note: The formula allows one factor ψ0,2 and one factor ψ 2,n for all subnatures.
Note: The formula allows one factor y 0,3 and one factor ψ 0,2 for all subnatures.
Note: The formula allows one factor ψ 0,3 and one factor ψ 0,2 for all subnatures.
Note: The formula allows one factor ψ 0,3 and one factor ψ0,2 for all subnatures.
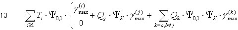
Note: The formula allows one factor ψ K for all subnatures.
Note: The formula allows one factor ψ K for all subnatures.
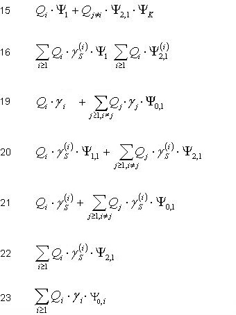
Note: The formula allows one factor ψ K for all subnatures.
Note: The formula allows one factor ψ K for all subnatures.
Note: The formula allows one factor ψ for all subnatures.
Note: The formula allows one factor ψ for all subnatures.
Note: The formula allows one factor ψK for all subnatures.
Note: The formula allows one factor ψ K for all subnatures.
Note: The formula allows one factor ψK for all subnatures.
Note: The formula allows one factor ψK for all subnatures.