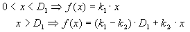
The following parameters for the bilinear model are defined for positive arguments x>0. The value of the derivative needed to define the stiffness is also specified.
Function:
Derivative (stiffness):
Limitations: