Reibungsfaktor
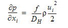
Die Reibungsfaktormethode kann zur Simulation eines langen Rohrstücks verwendet werden. Bei dieser Methode wird der Überdruckabfall folgendermaßen formuliert:

wobei f der Reibungsfaktor und DH der hydraulische Durchmesser ist.
- Wählen Sie im Materialeditor die gewünschte Richtung aus, und legen Sie Reibungsfaktor als die Variationsmethode fest.
- Geben Sie den hydraulischen Durchmesser, die simulierte Rohrlänge und die gewünschten Einheiten ein.
Anmerkung: Der hydraulische Durchmesser und die simulierte Rohrlänge sind für beide Methoden erforderliche Eigenschaften.
- Wählen Sie die Korrelationsmethode Reibungsfaktor, Moody oder
aus:
Methode 1: Moody
Die Moody-Formel wird zur Berechnung des Reibungsfaktors verwendet. Geben Sie die Behinderungsrauheitshöhe in den korrekten Längeneinheiten ein.
Methode 2: 
Der Reibungsfaktor wird durch
bestimmt.
Die Reynoldszahl basiert auf dem hydraulischen Durchmesser des Rohrs. Geben Sie die Koeffizienten a und b ein.
Anmerkung: Der Reibungsfaktor ist dimensionslos, aber der hydraulische Durchmesser sollte in den korrekten Längeneinheiten eingegeben werden.