Haben Sie jemals eine vollständige Simulation durchgeführt, nur um dann festzustellen, dass Ihre Anwendung nicht die gewünschten Ergebnisse liefert? Mit Autodesk® CFD können Sie Ihre eigenen benutzerdefinierten Ergebnisgrößen einrichten, um andere als die CFD-Standardergebnisse zu analysieren und visualisieren. Mithilfe selbst erstellter Größen können Sie anpassen, wie Sie Ihre Simulationsergebnisse analysieren und präsentieren.
Klicken Sie auf Einrichtung > Simulation > Benutzerdefinierte Ergebnisgrößen, um das Dialogfeld zu öffnen.

Sie können das Dialogfeld auch bei der Arbeit mit Ergebnissen öffnen. Klicken Sie auf Ergebnisse > Global > Benutzerdefinierte Ergebnisgrößen.

Im Dialogfeld Benutzerdefinierte Ergebnisgrößen können Sie Größen hinzufügen, bearbeiten und entfernen. Verwenden Sie die verschiedenen Funktionen, Variablen und Operatoren, um für Ihre Analyse geeignete Gleichungen zu erstellen.
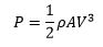
Angenommen, Sie modellieren eine Windmühle mit einem Flügelradius von 0,75 m. Sie möchten eine Größe erstellen, die die theoretische Windkraft nachverfolgt, die der Windmühle zur Verfügung steht. Theoretisch kann diese Windkraft folgendermaßen ausgedrückt werden:

Hierbei ist P die Leistung (W), ρ die Luftdichte (kg/m3), A die Fläche (m2) des durch Flügelrotation gebildeten Kreises und V die Windgeschwindigkeit·(m/s).
Sie haben die Werte in das Dialogfeld Benutzerdefinierte Ergebnisgrößen eingegeben, wie in der folgenden Abbildung gezeigt.

Einige Hinweise zum Dialogfeld:
Gleichungsergebnisse sind dimensionslos. Zum manuellen Anwenden von Einheiten auf die Größen geben Sie die entsprechenden Werte in Anzeigeeinheiten ein.
Die Gleichungen folgen der Python-Syntax.
Sie können auf Funktionen und skalare Variablen doppelklicken, um sie dem Feld Gleichung hinzuzufügen. Sie können die Werte auch eingeben.
Klicken Sie auf Testgleichung, um ein Dialogfeld zu öffnen, in dem Sie die Gleichung überprüfen und ändern können. Wenn Sie die Gleichung ändern, klicken Sie auf Gleichung aktualisieren, um die neue Gleichung an das Dialogfeld Benutzerdefinierte Ergebnisgrößen zurückzugeben.

Klicken Sie auf Speichern, um die Gleichung in Ihrer Studie zu speichern.
Klicken Sie auf Studie aktualisieren, um die Größe in den Ergebnissen verfügbar zu machen. Beispielsweise können Sie nach der Aktualisierung der Studie Windkraft als globales Ergebnis auswählen:
