Es gibt sechs grundlegende Eigenschaften, die erforderlich sind, um ein Fluid zu definieren. Für die meisten dieser Eigenschaften kann auf unterschiedliche Weise veranlasst werden, dass sie je nach Temperatur, Druck oder Skalar variieren. In der folgenden Tabelle werden die Eigenschaften und die verfügbaren Variationsmethoden aufgelistet.
Eigenschaft | Variationsmethoden |
Dichte | Konstant, Zustandsgleichung, Polynom, Inverses Polynom, Arrhenius, Thermodynamiktabellen, Stückweise linear und Feuchtes Gas Bitte lesen Sie die Anmerkung unten zur Festlegung der Dichte und der Gaskonstante unter Berücksichtigung der Effekte realer Gase. |
Viskosität (dynamische Viskosität) | Konstant, Sutherland, Potenzgesetz, Polynom, Inverses Polynom, Potenzgesetz für nicht-Newtonsche Fluide, Hershel Buckley-Carreau, Arrhenius, Stückweise linear und Thermodynamiktabellen, Polynom 1. Ordnung, Polynom 2. Ordnung |
Leitfähigkeit | Konstant, Sutherland, Potenzgesetz, Polynom, Inverses Polynom, Arrhenius, Thermodynamiktabellen, Stückweise linear |
Spezifische Wärme | Konstant, Polynom, Inverses Polynom, Arrhenius, Thermodynamiktabellen, Stückweise linear |
Kompressibilität | Cp/Cv (Gamma, das Verhältnis spezifischer Wärmen): Ist nur für Analysen von kompressiblen Gasen hilfreich ODER Kompressionsmodul: Ist nur für Analysen von kompressiblen Flüssigkeiten hilfreich. Siehe Anmerkung unten. |
Emissionsvermögen Dies ist für Analysen von Strahlung hilfreich. Das für ein Fluid angegebene Emissionsvermögen wird Wänden zugewiesen, zu denen ein Kontakt besteht. Beachten Sie, dass das für einen Festkörper angegebene Emissionsvermögen den Wert überschreibt, der dem Kontaktfluid zugewiesen ist. | Konstant Stückweise lineare Variation mit Temperatur. (Dies ist für Analysen von spektraler Strahlung hilfreich.) |
| Wandrauheit Ist für die Simulation von variablen Rauheitshöhen hilfreich, um die Reibungswirkungen einzuschließen. | Konstant. Siehe Anmerkung unten über die Eigenschaft "Wandrauheit". |
Phase Zur Verwendung bei Kavitationssimulationen. | Geben Sie den Dampfdruck oder ein zugehöriges Material an, das die Verdampfungseigenschaften enthält. |
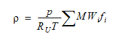
Um die Effekte realer Gase zu simulieren, während weiterhin die Zustandsgleichung für ideale Gase verwendet wird, ändern Sie die Gaskonstante für die Dichte im Materialeditor für das Fluid in einen Wert, der konsistent mit dem realen Gas ist. Für ein Mehrkomponentengas wird die Dichte berechnet mit:

wobei P der absolute statische Druck ist, Ru die allgemeine Gaskonstante, T die absolute statische Temperatur, MWi das Molekulargewicht von Komponente i und f i der Stoffmengenanteil von Komponente i.
Um dieses Gas in Autodesk® CFD zu integrieren, ändern Sie die Gaskonstante im Materialeditor für das Fluid gemäß:

wobei RT der Wert ist, den Sie im Autodesk® CFD-Fenster für die Gaskonstante eingeben würden.
Das Kompressionsmodul und die Dichte einer Flüssigkeit sind zur Bestimmung der Schallgeschwindigkeit durch diese Flüssigkeit von entscheidender Bedeutung:
Die Definition des Kompressionsmodul ist:

Sofern die Schallgeschwindigkeit a wie folgt definiert ist:

Ergibt sich daraus:

Quelle: White, F. M., "Fluid Mechanics", McGraw Hill, New York, New York, 1986.
Das Kompressionsmodul wird nur für Analysen von kompressiblen Flüssigkeiten (Druckschlag) verwendet. Der Wert des Kompressionsmoduls wird für die in der Materialdatenbank enthaltenen flüssigen Materialien automatisch festgelegt. Für benutzerdefinierte Materialien ist der korrekte Wert des Kompressionsmoduls nur erforderlich, wenn Flüssigkeitskompressibiliät analysiert werden soll. Ein Beispiel für eine Flüssigkeitskompressibilität, Druckschlag, lässt sich wie folgt beschreiben:
Wasser fließt mit 10 Zoll/s durch ein gerades Rohr. Zu einer bestimmten Zeit wird ein Ventil am Ende des Rohrs plötzlich geschlossen. Ein Druckstoß bewegt sich mit einer Geschwindigkeit durch das Wasser, die der Schallgeschwindigkeit durch Wasser entspricht. Dieses Phänomen wird als "Druckschlag" bezeichnet und mit einer transienten Analyse analysiert, um die Bewegung der Druckwelle durch das Wasser vorherzusagen. Anstatt die Zustandsgleichung für ideale Gase und das Verhältnis spezifischer Wärme zur Bestimmung der Schallgeschwindigkeit zu verwenden, werden die Dichte und das Kompressionsmodul des Wassers verwendet.
Geben Sie eine Abmessung der Rautiefe (in den in der Dropdown-Liste verfügbaren Einheiten) ein. Diese Tiefen sind in der Regel sehr gering, so haben Gusseisenrohre z. B. in der Regel eine Wandrautiefe von 0.0102 Zoll.
Ein für ein Fluid angegebener Wert für die Wandrautiefe wird bei der Berechnung automatisch auf die benetzten Wände angewendet, die dieses Fluid berühren. Ein für einen Festkörper angegebener Wert für die Wandrautiefe wird auf alle benetzten Wände (Flächen, die mit einem Fluid in Kontakt stehen) des Teils verwendet. Eine auf einen Festkörper angewendete Wandrautiefe ungleich null hat Vorrang vor einer Wandrauheit, die auf ein ihn berührendes Fluid angewendet wird.
Wandrautiefen sind in das Turbulenzwandmodell implementiert und wirken sich nicht auf die Geometrie aus. Die Strömung muss turbulent sein, damit Wandrautiefen wirksam werden. Für laminare Strömungen werden sie ignoriert.
Angegebene Wandrautiefen funktionieren am besten, wenn das Turbulenzgesetz für die Wand genau befolgt wird. Dies bedeutet, dass der dimensionslose Abstand (y+) vom Wandknoten zum wandnahen Knoten zwischen 35 und 350 betragen muss. Um die Dicke der Netz-Wandschicht automatisch so zu variieren, dass ein geeigneter Y+-Wert angewendet wird, aktivieren Sie im Dialogfeld Lösen die Option Adaption, und aktivieren Sie die Option Y+ Adaption.