Partikelspuren sind vorgabemäßig die Wege, die masselose Partikel nach dem Eintritt in die Strömung nehmen würden. Eine physikalisch realistischere Visualisierungstechnik berücksichtigt auch die Auswirkungen von Masse auf die Partikel. Die resultierende Spur verhält sich mehr wie eine physikalische Substanz innerhalb eines Strömungssystems.
Es werden Trägheits- und Widerstandseffekte berücksichtigt, und wenn ein Partikel zu viel Trägheit für die Drehung in einer Ecke aufweist, kollidiert es mit der Wand. Massenpartikel prallen ab, wenn sie auf eine Wand oder eine Symmetriefläche treffen. Durch Angabe des Rückkehrkoeffizienten kann das Ausmaß der Abprallbewegung bei einer Kollision gesteuert werden.
Es gibt mehrere Einstellungen, die ein hohes Maß an Flexibilität bei der Visualisierung von Massenpartikeln ermöglichen. Die grundlegendsten von ihnen sind "Partikeldichte" und "Partikelradius". Zu den weiteren Einstellungen zählen u. a. ein benutzerdefinierter "Anfänglicher Weg", die Schwerkraft und eine anpassbare "Widerstandsbeziehung".
Diese Optionen finden sich im Dialogfeld Masse. Sie können dieses Dialogfeld öffnen, indem Sie im Taskdialogfeld "Partikelspur" auf die Schaltfläche Masseklicken. Beginnen Sie, indem Sie das Kontrollkästchen Masse aktivieren aktivieren.
Massenpartikelspuren werden nur vorwärts, nicht rückwärts gezeichnet. Es empfiehlt sich daher, die Ausgangspunkte nahe am Einlass der Geometrie zu platzieren.
Geben Sie die Partikeldichte " und den Partikelradius ein, und wählen Sie die gewünschten Einheiten für beide Größen aus. Die vorgegebene Dichte ist die Fluiddichte, und der vorgegebene Radius basiert auf dem Begrenzungsfeld des Modells.
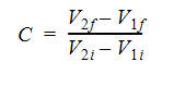
Dieser Koeffizient ist ein Maß für den Rückprall zwischen zwei Objekten. Er setzt die Geschwindigkeiten der Objekte vor und nach einer Kollision zueinander ins Verhältnis und kann mathematisch wie folgt beschrieben werden:

Für Massenpartikel ist das andere Objekt eine statische Wand. Damit reduziert sich die Gleichung auf folgende Form:

Der Rückkehrkoeffizient kann einen Wert zwischen 0.01 und 1 haben:
Ein Beispiel für Massenpartikel mit einem Rückkehrkoeffizienten von 0.01:

Ein Beispiel für Massenpartikel mit einem Rückkehrkoeffizienten von 1:

Geben Sie die Anfangsgeschwindigkeit und -richtung für die Spur an, indem Sie Anfangsgeschwindigkeit einstellen aktivieren.

So können Sie die Interaktion zwischen der Strömung und einer Partikelinjektion mit bekannter Geschwindigkeit und Bewegungsbahn visualisieren. Ein Beispiel hierfür wäre eine Sprühinjektion von Partikeln in einen Strömungsfluss.
Sie können die Auswirkungen von Körperkräften auf Partikelspuren berücksichtigen, indem Sie die Option Schwerkraft für Massenpartikel aktivieren aktivieren.
Geben Sie die Komponenten der Kraft in die Felder X, Y und Z ein.
Aktivieren Sie das Kontrollkästchen Erdanziehungskraft, und geben Sie einen Vektor für die Richtung ein, in der die Schwerkraft wirkt.
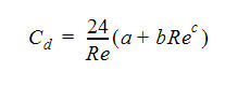
Die für Massenpartikel verwendete Widerstandsbeziehung lautet wie folgt:

Ändern Sie die Koeffizienten a, bund c, um den Widerstand in geeigneter Weise anzupassen.
Eine der Hauptursachen des Geräteversagens in Umgebungen mit starken Strömungen ist die Oberflächenerosion aufgrund des Auftreffens von Fluidströmungen, die eine hohe Geschwindigkeit aufweisen. Erkenntnisse hinsichtlich der Bereiche, in denen eine Erosion auftreten kann, sind wichtig für das Erzielen einer besseren Haltbarkeit und längeren Lebensdauer.
Verunreinigungen wie Sand, Quarz und Flugasche verursachen bei Umlauf und Aufprall auf Ventile und andere Systemkomponenten eine Materialerosion. In der Öl- und Gasindustrie wird diese duktile Erosion basierend auf "Netzgröße" des Partikels ermittelt. Die Netzgröße entspricht der maximalen Partikelgröße, die wahrscheinlich im System anzutreffen ist. Dieses Phänomen wird auch als "Auswaschen" bezeichnet.
Autodesk® CFD berechnet die Erosion mittels Lagrange-Partikelspuren und Edwards-Modell. Es wird eine niedrige Partikelkonzentration angenommen (keine Anwendung des Slurry-Erosionsmodells), und Ergebnisse werden als skalare Ergebnisgröße dargestellt. Dieses Verfahren ermöglicht einen Designvergleich und führt zu brauchbaren Erosionsprognosen.
Das Erosionsmodell berechnet anhand der Aufprallwinkel- und Brinell-Materialhärte-Daten die Materialmenge, die durch die Fluidströmung abgetragen wird. Dieser Ansatz ermöglicht eine quantitative Identifizierung von Bereichen, die einer Erosion ausgesetzt sind. Das Modell illustriert die Beziehung von Strömungs- und Erosionstrend und ermöglicht eine Reduzierung der Erosion durch Designverbesserungen.
Weitere Informationen zur Berechnung von Erosion ...
Während sich ein Partikel durch die Elemente bewegt, basieren die Zugberechnungen auf dem lokalen Geschwindigkeitsfeld von einem Zeitschritt zum nächsten. Die Geschwindigkeit, die auf den Partikel wirkt, wird mithilfe geometrischer Gewichtung berechnet, die auf den Geschwindigkeitswerten an den Knoten des Elements basiert, durch die der Partikel derzeit strömt. Die Entfernung, die der Partikel in einem Zeitschritt zurücklegt, entspricht seiner Geschwindigkeit multipliziert mit der Zeitschrittgröße.
Wenn der Zeitschritt zu groß ist, strömt der Partikel in einem einzigen Zeitschritt möglicherweise durch mehrere Elemente. Dies ergibt eine grobe Annäherung an die tatsächliche Bewegung, da die Geschwindigkeitsfelder in einigen der Zwischenelemente, die der Partikel durchlaufen hat, nicht berücksichtigt wurden. Die genaueste Pfad wird berechnet, wenn die Zeitschrittgröße ungefähr gleich der Zeit ist, die der Partikel zum Durchlaufen eines einzelnen Elements benötigt. Wenn der Partikel in einem Zeitschritt ein einzelnes Element durchläuft, dann berücksichtigen das lokalen Geschwindigkeitsfeld und die Zugschätzungen alle Elemente entlang des Pfads. Dies bietet die beste Genauigkeit.
Es wird empfohlen, die Zeitschrittgröße so lange zu verringern, bis eine weitere Reduzierung der Zeitschrittgröße keine Auswirkungen mehr auf den Partikelpfad hat.