The LaRC02 criterion [55] identifies fiber failure and matrix cracking in a unidirectional composite.
Fiber failure is further divided into three possible failure modes:
Matrix cracking is also divided into three possible failure modes:
If a failure index (FI) equals or exceeds 1.0, failure occurs (fiber or matrix failure).
This section presents common terms seen in the LaRC02 failure criteria.
XT = Value of σ11 at longitudinal tensile failure
XC = Value of σ11 at longitudinal compressive failure
YT = Value of σ22 at transverse tensile failure
YC = Value of σ22 at transverse compressive failure
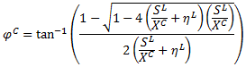
SL = Absolute value of σ12 at longitudinal shear failure
ST = Absolute value of σ23 at transverse shear failure
α0 = Angle of the fracture plane under uniaxial transverse compression (set to 53°)
α = Angle of the fracture plane that maximizes the failure index
G12 = Longitudinal shear moduli










If the longitudinal normal stress (σ11) is positive, the tensile fiber failure mode is used to determine if fiber failure occurs. The tensile fiber failure criterion is

Where ε11 is the current longitudinal strain and
is the longitudinal strain at fiber tensile failure.
is calculated from axial tensile strength of the composite as

There are two fiber compressive failure criterion. The stress state determines which one is used to evaluate fiber failure. Fiber compressive failure is evaluated in a rotated coordinate system. If the transverse normal stress (
) is positive, the criterion below is used to evaluate fiber failure.

If the transverse normal stress (
) is negative, the criterion below is used to evaluate fiber failure

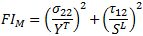
The matrix tensile failure criteria is invoked if the transverse normal stress (σ22) is positive. The tensile matrix failure criterion is

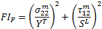
There are two matrix compressive failure criterion. The stress state determines which one is used to evaluate matrix failure. If the longitudinal normal stress (σ11) is greater than or equal to the transverse compressive strength (YC), the following criterion is used to evaluate matrix failure

If the longitudinal normal stress (σ11) is less than the transverse compressive strength (YC), the material is considered to be in a moderate biaxial compressive state and the following criterion is used to evaluate matrix failure

This criterion uses stresses in the rotated coordinate system to calculate the effective stresses.